精英家教网 > 高中数学 > 题目详情

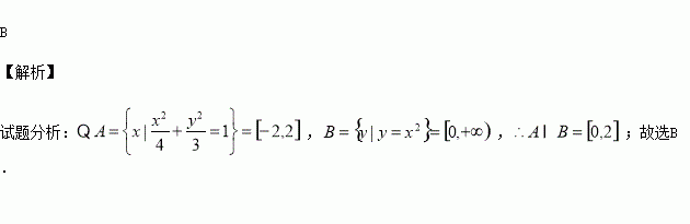
设集合A={x|},B={y|y=x2},则A∩B=( )

A.[-2,2] B.[0,2]

C.[0,+∞) D.{(-2,4),(2,4)}

练习册系列答案
相关习题

科目:高中数学 来源:2016上海复旦大学附中届高三上期中文科数学试卷(解析版) 题型:填空题

已知圆锥的母线长为,侧面积为,则此圆锥的体积为________

查看答案和解析>>

科目:高中数学 来源:2015-2016学年湖北武汉华中师大一附高二上期中理数学卷(解析版) 题型:选择题

若双曲线与直线无公共点,则离心率的取值范围是( )

A. B. C. D.

查看答案和解析>>

科目:高中数学 来源:2016届江苏省高三上学期周练数学试卷(解析版) 题型:填空题

已知全集,则的子集个数为

查看答案和解析>>

科目:高中数学 来源:2016届湖南省株洲市高三上学期期中理科数学试卷(解析版) 题型:解答题

已知数列为等差数列,,其前和为,数列为等比数列,且对任意的恒成立.

(1)求数列的通项公式;

(2)是否存在,使得成立,若存在,求出所有满足条件的;若不存在,说明理由.

查看答案和解析>>

科目:高中数学 来源:2016届湖北武汉华中师大一附等高三上第一次联考文数学卷(解析版) 题型:选择题

已知,命题,则( )

A.是假命题,

B.是假命题,

C.是真命题,

D.是真命题,

查看答案和解析>>

科目:高中数学 来源:2016届湖北武汉华中师大一附等高三上第一次联考理数学卷(解析版) 题型:选择题

已知集合,则( )

A. B. C. D.

查看答案和解析>>

科目:高中数学 来源:2015-2016学年湖南师大附中高二上学期期中文科数学试卷(解析版) 题型:选择题

已知向量,则的值为( )

A. B.1 C.2 D.3

查看答案和解析>>

科目:高中数学 来源:2016届湖南师范大学附中高三上学期月考三文科数学试卷(解析版) 题型:选择题

已知下面四个命题:

①“若,则”的逆否命题为“,则

②“”是“”的充分不必要条件

③命题存在,使得,则任意,都有

④若为假命题,则均为假命题

其中真命题个数为( )

A.1 B.2 C.3 D.4

查看答案和解析>>

同步练习册答案