精英家教网 > 高中数学 > 题目详情

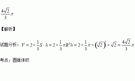
已知等腰直角三角形的直角边的长为2,将该三角形绕其斜边所在的直线旋转一周而形成的曲面所围成的几何体的体积为________.

练习册系列答案
相关习题

科目:高中数学 来源:2016届湖北武汉华中师大第一附中高三上期中考试文科数学试卷(解析版) 题型:选择题

已知函数则不等式的解集为( )

A. B.

C. D.

查看答案和解析>>

科目:高中数学 来源:2016届江苏省高三九月月考数学试卷(解析版) 题型:填空题

已知函数.若是偶函数,则

查看答案和解析>>

科目:高中数学 来源:2015-2016学年辽宁师范大学附属中学高二10月月考数学试卷(解析版) 题型:填空题

下列正确命题有

① “”是“”的充分不必要条件

②如果命题“()”为假命题,则 中至多有一个为真命题

③设a>0,b>1,若a+b=2,则+的最小值为3+2

④函数在(-1,1)上存在,使的取值范围是

查看答案和解析>>

科目:高中数学 来源:2015-2016学年辽宁师范大学附属中学高二10月月考数学试卷(解析版) 题型:选择题

设集合M={x|x2-3x-4<0},N={x|0≤x≤5},则M∩N=( )

A.(0,4] B.[0,4) C.[-1,0) D.(-1,0]

查看答案和解析>>

科目:高中数学 来源:2015-2016学年江西省高二上学期第一次月考数学试卷(解析版) 题型:选择题

设m,n是两条不同的直线,α,β是两个不同的平面.则( )

A.若m⊥n,n∥α,则m⊥α

B.若m∥β,β⊥α,则m⊥α

C.若m⊥β,n⊥β,n⊥α,则m⊥α

D.若m⊥n,n⊥β,β⊥α,则m⊥α

查看答案和解析>>

科目:高中数学 来源:2015-2016学年江西省南昌市高一上学期第一次月考数学试卷(解析版) 题型:选择题

若函数上为增函数,则实数的取值范围为( )

A. B. C. D.

查看答案和解析>>

科目:高中数学 来源:2015-2016学年江西省南昌市高一上学期期中考试数学试卷(解析版) 题型:选择题

,则等于 ( )

A、 B、 C、 D、

查看答案和解析>>

科目:高中数学 来源:2015-2016学年湖北省高二上期中文科数学试卷(解析版) 题型:解答题

(本小题满分10分)

(1)设函数,其中θ∈,求导数的取值范围;

(2)若曲线与曲线在它们的公共点处具有公共切线,

求公共切线的方程.

查看答案和解析>>

同步练习册答案