精英家教网 > 高中数学 > 题目详情

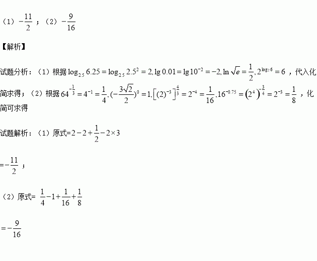
(本小题满分11分)

(1)计算

(2)计算

练习册系列答案
相关习题

科目:高中数学 来源:2015-2016学年江苏省泰兴市高二上学期期中考试数学试卷(解析版) 题型:解答题

(本小题满分16分)已知函数

(Ⅰ)当时,求曲线在点处的切线方程;

(Ⅱ)当时,求函数的单调区间;

(Ⅲ)当时,函数上的最大值为,若存在,使得

成立,求实数b的取值范围.

查看答案和解析>>

科目:高中数学 来源:2015-2016学年甘肃省定西市高一上学期第一次月考数学试卷(解析版) 题型:选择题

下列四组函数中,表示同一函数的是( )

A.

B.

C.

D.

查看答案和解析>>

科目:高中数学 来源:2015-2016学年浙江省平湖市高一10月月考数学试卷(解析版) 题型:解答题

(本题8分)已知函数

(1)用单调性定义证明函数上是减函数;

(2)判断上的单调性(无需证明);

(3)若函数上的值域是,求的最大值和最小值.

查看答案和解析>>

科目:高中数学 来源:2015-2016学年四川省高一上学期第一学月考数学试卷(解析版) 题型:填空题

已知函数f(x)=4x2-4mx+1,在(-∞,-2)上递减,在(-2,+∞)上递增.则f(x)在[1,2]上的值域为_______.

查看答案和解析>>

科目:高中数学 来源:2015-2016学年四川成都市六校高二上学期期中联考文科数学试卷(解析版) 题型:解答题

(本小题满分12分)如图所示,正方形和矩形所在平面相互垂直,的中点.

(1)求证:

(2)若直线与平面成45o角,求异面直线所成角的余弦值.

查看答案和解析>>

科目:高中数学 来源:2015-2016学年四川成都市六校高二上学期期中联考理科数学试卷(解析版) 题型:选择题

若直线与曲线有公共点,则b的取值范围是

A. B. C. D.

查看答案和解析>>

科目:高中数学 来源:2015-2016学年河北省高一上学期第一次月考数学试卷(解析版) 题型:选择题

若函数y=f(x)的定义域为M={x|-2≤x≤2},值域为N={y|0≤y≤2},则函数y=f(x)的图象可能是( )

查看答案和解析>>

科目:高中数学 来源:2015-2016学年湖南师大附中高二上学期第三次检测数学卷(解析版) 题型:选择题

已知,实数满足,且,若实数是函数的一个零点,那么下列不等式中,不可能成立的是( )

A. B.

C. D.

查看答案和解析>>

同步练习册答案