精英家教网 > 高中数学 > 题目详情

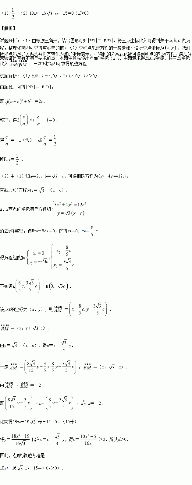
在平面直角坐标系xOy中,点P(a,b)(a>b>0)为动点,F1、F2分别为椭圆+=1的左、右焦点.已知△F1PF2为等腰三角形.

(1)求椭圆的离心率e;

(2)设直线PF2与椭圆相交于A,B两点,M是直线PF2上的点,满足=-2,求点M的轨迹方程.

练习册系列答案
相关习题

科目:高中数学 来源:2015-2016学年江苏省高邮市高一上学期期中调研数学试卷(解析版) 题型:填空题

若方程在区间上有解,则所有满足条件的的值的和为

查看答案和解析>>

科目:高中数学 来源:2015-2016学年浙江省温州市十校联合体高一上学期期中考试数学试卷(解析版) 题型:解答题

设集合,B={x|<1},

(1)求

(2)若,求的取值范围.

查看答案和解析>>

科目:高中数学 来源:2015-2016学年江苏省无锡市四校高一上学期期中考试数学试卷(解析版) 题型:填空题

已知函数满足对任意的,都有成立,则的取值范围是

查看答案和解析>>

科目:高中数学 来源:2015-2016学年广东省汕头市高一上学期期中考试数学试卷(解析版) 题型:解答题

某蔬菜基地种植西红柿,由历年市场行情得知,从二月一日起的300天内,西红柿场售价与上市时间的关系用图一的一条折线表示;西红柿的种植成本与上市时间的关系用图二的抛物线段表示。

(Ⅰ)写出图一表示的市场售价与时间的函数关系式;写出图二表示的种植成本与时间的函数关系式

(Ⅱ)认定市场售价减去种植成本为纯收益,问何时上市的西红柿纯收益最大?

(注:市场售价各种植成本的单位:元/102㎏,时间单位:天)

查看答案和解析>>

科目:高中数学 来源:2014-2015学年贵州省高二上学期半期考试理科数学试卷(解析版) 题型:选择题

“a>0”是“|a|>0”的( )

A.充分不必要条件 B.必要不充分条件

C.充要条件 D.既不充分也不必要条件

查看答案和解析>>

科目:高中数学 来源:2016上海复旦大学附中届高三上期中文科数学试卷(解析版) 题型:选择题

设集合的两个非空子集,如果存在一个从的函数满足: 对任意时,恒有,那么称这两个集合“保序同构”.以下集合对不是“保序同构”的是( )

A、 B、

C、 D、

查看答案和解析>>

科目:高中数学 来源:2016届河北省高三上学期四调理科数学试卷(解析版) 题型:解答题

(本小题满分12分)

中,角所对的边为,且满足

(1)求角的值;

(2)若,求的取值范围.

查看答案和解析>>

科目:高中数学 来源:2016届江苏省高三上学期周练数学试卷(解析版) 题型:填空题

若一直角三角形的三边长构成公差为的等差数列,则该直角三角形的周长为

查看答案和解析>>

同步练习册答案