精英家教网 > 高中数学 > 题目详情
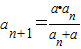
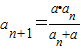
设f(x)=(a≠0),令a1=1,an+1=f(an),又bn=an•an+1,n∈N*
(1)判断数列{}是等差数列还是等比数列并证明;
(2)求数列{an}的通项公式;
(3)求数列{bn}的前n项和.
【答案】分析:(1)由题意可得:.将其变形可得,由等差数列的定义进而得到答案.
(2)由(1)可得
(3)设Sn是数列{bn}的前n项和.由(1)可得bn=an•an+1=a(an-an+1),利用分组求和的方法求出答案即可.
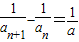
解答:解:(1)由an+1=f(an)可得:
将其变形可得an•an+1=a(an-an+1),即
所以数列{}是首项为1,公差为的等差数列.
(2)由(1)可得
所以,即
所以数列{an}的通项公式为
(3)设Sn是数列{bn}的前n项和.
由(1)可得bn=an•an+1=a(an-an+1),
所以
所以数列{bn}的前n项和为
点评:解决此类问题的关键是数列掌握等差数列的通项与前n项和的公式,以及其他数列求和的方法如分组求和、错位相减、倒序相加、裂项相消等方法.
练习册系列答案
相关习题

科目:高中数学 来源: 题型:

3、设f(x)在(a,b)内有定义,x0∈(a,b),当x<x0时,f′(x)>0;当x>x0时,f′(x)<0.则x0是(  )

查看答案和解析>>

科目:高中数学 来源: 题型:

对于函数f(x),其定义域为D,若任取x1、x2∈D,且x1≠x2,若f(
x1+x2
2
)>
1
2
[f(x1)+f(x2)],则称f(x)为定义域上的凸函数.
(1)设f(x)=ax2(a>0),试判断f(x)是否为其定义域上的凸函数,并说明原因;
(2)若函数f(x)=㏒ax(a>0,且a≠1)为其定义域上的凸函数,试求出实数a的取值范围.

查看答案和解析>>

科目:高中数学 来源: 题型:

设函数f(x)=xlnx(x>0),g(x)=-x+2,
(I)求函数f(x)在点M(e,f(e))处的切线方程;
(II)设F(x)=ax2-(a+2)x+f′(x)(a>0),讨论函数F(x)的单调性;
(III)设函数H(x)=f(x)+g(x),是否同时存在实数m和M(m<M),使得对每一个t∈[m,M],直线y=t与曲线y=H(x)(x∈[
1e
,e])
都有公共点?若存在,求出最小的实数m和最大的实数M;若不存在,说明理由.

查看答案和解析>>

科目:高中数学 来源: 题型:

设f(x)=4x2-1,g(x)=-2x+1
(1)若关于x的方程f(2x)=2g(x)+m有负实数根,求m的取值范围;
(2)若F(x)=af(x)+bg(x)(a,b都为常数,且a>0)
①证明:当0≤x≤1时,F(x)的最大值是|2a-b|+a;
②求证:当0≤x≤1时,F(x)+|2a-b|+a≥0.

查看答案和解析>>

科目:高中数学 来源: 题型:

设f(x)=ax(a>0且a≠1),g(x)为f(x)的反函数.
(1)当a=e(e为自然对数的底数)时,求函数y=f(x)-x的最小值;
(2)试证明:当f(x)与g(x)的图象的公切线为一、三象限角平分线时,a=e
1e

查看答案和解析>>

同步练习册答案