精英家教网 > 高中数学 > 题目详情

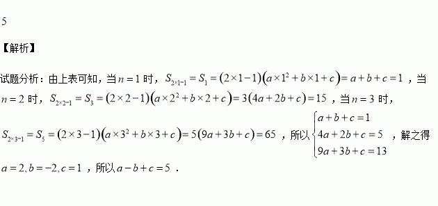
如下数表,为一组等式:

某学生根据上表猜测,老师回答正确,则

练习册系列答案
相关习题

科目:高中数学 来源:2015-2016学年甘肃省高一上期中数学试卷(解析版) 题型:解答题

已知函数的定义域都是集合A,函数的值域分别为S和T.

(1)若

(2)若,求实数m的值;

(3)若对于集合A的每一个数x都有,求集合A.

查看答案和解析>>

科目:高中数学 来源:2015-2016学年湖北省武汉市高二上学期期中考试数学试卷(解析版) 题型:选择题

如图所示,正方体的棱长为1,则的坐标是 ( )

A. B. C. D.

查看答案和解析>>

科目:高中数学 来源:2016届浙江省绍兴市高三上学期期中理科数学试卷(解析版) 题型:选择题

已知,若,则的大小关系为( )

A.> B.= C.< D.不能确定

查看答案和解析>>

科目:高中数学 来源:2016届山西省高三10月月考理科数学试卷(解析版) 题型:填空题

已知点在抛物线的准线上,点M,N在抛物线C上,且位于轴的两侧,O是坐标原点,若,则点A到动直线MN的最大距离为

查看答案和解析>>

科目:高中数学 来源:2016届辽宁省沈阳市高三上学期期中理科数学试卷(解析版) 题型:解答题

如图,在四棱锥P-ABCD中,底面ABCD为平行四边形,E为侧棱PA的中点.

(1)求证:PC//平面BDE;

(2)若PC⊥PA,PD=AD,求证:平面BDE⊥平面PAB.

查看答案和解析>>

科目:高中数学 来源:2016届江苏省高三上学期周练数学试卷(解析版) 题型:填空题

在等腰梯形ABCD中,已知,动点E和F分别在线段BC和DC上,且,则的最小值为

查看答案和解析>>

科目:高中数学 来源:2015-2016学年山西省高二上期中理科数学试卷(解析版) 题型:选择题

在平面直角坐标系中, 直线轴正半轴以及轴正半轴的交点分别是,那么面积的最小值是

A. B. C. D.

查看答案和解析>>

科目:高中数学 来源:2015-2016学年广东汕头金山中学高一上学期期中数学试卷(解析版) 题型:填空题

.已知的图像关于直线对称,则实数的值为_____________.

查看答案和解析>>

同步练习册答案