精英家教网 > 高中数学 > 题目详情

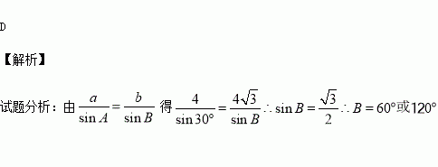
已知△ABC中,a=4,b=4,∠A=30°,则∠B等于( )

A.30° B.30°或150° C.60° D.60°或120°

练习册系列答案
相关习题

科目:高中数学 来源:2015-2016学年江西省南昌市高一上学期期中考试数学试卷(解析版) 题型:选择题

已知集合,则集合 ( )

A、 B、 C、 D、

查看答案和解析>>

科目:高中数学 来源:2016届河南省原名校高三上学期第一次联考理科数学试卷(解析版) 题型:填空题

已知点,则向量方向上的投影为

查看答案和解析>>

科目:高中数学 来源:2015-2016学年广西桂林中学高二上期中考试文科数学试卷(解析版) 题型:选择题

在等差数列中,其前n项和是Sn,若,则在中最大的是( )

A. B. C. D.

查看答案和解析>>

科目:高中数学 来源:2015-2016学年福建省师大附高二上期中理科数学试卷(解析版) 题型:选择题

已知等差数列的前项和满足,则下列结论错误的是( )

A.均为的最大值

B.

C.公差

D.

查看答案和解析>>

科目:高中数学 来源:2015-2016学年辽宁省大连市高二10月月考数学试卷(解析版) 题型:填空题

为了考察某校各班参加课外书法小组的人数,在全校随机抽取5个班级,把每个班级参加该小组的人数作为样本数据.已知样本平均数为7,样本方差为4,且样本数据互相不相同,则样本数据中的最大值为

查看答案和解析>>

科目:高中数学 来源:2015-2016学年江苏省泰兴市高二上学期期中考试数学试卷(解析版) 题型:填空题

若椭圆上一点到左准线的距离为5,则该点到右焦点的距离为

查看答案和解析>>

科目:高中数学 来源:2015-2016学年辽宁省大连市高一上学期期中考试数学试卷(解析版) 题型:选择题

下列函数中,既是偶函数,又在区间上单调递减的函数是 ( )

A. B. C. D.

查看答案和解析>>

科目:高中数学 来源:2015-2016学年浙江省平湖市高一10月月考数学试卷(解析版) 题型:选择题

,则下列等式不成立的是( )

A.

B.

C.

D.

查看答案和解析>>

同步练习册答案