精英家教网 > 高中数学 > 题目详情

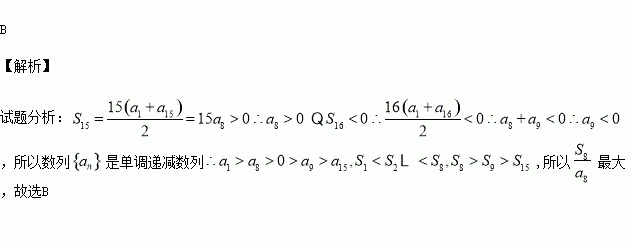
在等差数列中,其前n项和是Sn,若,则在中最大的是( )

A. B. C. D.

练习册系列答案
相关习题

科目:高中数学 来源:2015-2016学年广东省佛山市高一上学期期中数学试卷(解析版) 题型:填空题

下列几个命题:

①函数是偶函数,但不是奇函数;

②方程的有一个正实根,一个负实根,则

是定义在R上的奇函数,当x<0时,,则x≥ 0时,

④函数的值域是

其中正确的有

A.②④ B.①③④ C.①②④ D.①②③

查看答案和解析>>

科目:高中数学 来源:2016届山东省高三第二次诊断性考试理科数学试卷(解析版) 题型:解答题

(本小题满分12分)

已知

(Ⅰ)求函数的单调区间;

(Ⅱ)对一切的时,恒成立,求实数的取值范围.

查看答案和解析>>

科目:高中数学 来源:2015-2016学年浙江省宁波市高一上期中数学试卷(解析版) 题型:选择题

下列各组函数中,表示同一函数的是( )

A. B.

C. D.

查看答案和解析>>

科目:高中数学 来源:2015-2016学年湖北省高二上期中文科数学试卷(解析版) 题型:选择题

已知椭圆上有一点A,它关于原点的对称点为B,点F为椭圆的右焦点,且满足,设,且,则该椭圆的离心率e的取值范围为( )

A. B.

C. D.

查看答案和解析>>

科目:高中数学 来源:2015-2016学年福建省师大附高二上期中理科数学试卷(解析版) 题型:填空题

已知数列满足,若,且对于任意正整数均成立,则数列的前2015项和的值为 .(用具体的数字表示)

查看答案和解析>>

科目:高中数学 来源:2015-2016学年陕西省高二上学期期中考试数学试卷(解析版) 题型:选择题

已知△ABC中,a=4,b=4,∠A=30°,则∠B等于( )

A.30° B.30°或150° C.60° D.60°或120°

查看答案和解析>>

科目:高中数学 来源:2015-2016学年湖北省枣阳市高二10月月考理科数学试卷(解析版) 题型:选择题

某赛季,甲、乙两名篮球运动员都参加了11场比赛,他们每场比赛得分的情况用如图所示的茎叶图表示,则甲、乙两名运动员的中位数分别是 ( )

A. B. C. D.

查看答案和解析>>

科目:高中数学 来源:2014-2015学年上海市高一下学期期末考试数学试卷(解析版) 题型:选择题

中,若,则的形状是( )

A.锐角三角形 B.直角三角形

C.钝角三角形 D.不能确定

查看答案和解析>>

同步练习册答案