精英家教网 > 高中数学 > 题目详情

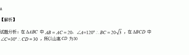
如图,在山顶测得山下塔顶和塔底的俯角分别为30°和60°,已知塔高,则山高

(A) (B)

(C) (D)

练习册系列答案
相关习题

科目:高中数学 来源:2014-2015学年浙江宁波效实中学高三上学期期中文科数学试卷(解析版) 题型:填空题

已知数列的各项均为正整数,其前项和为,若,则

查看答案和解析>>

科目:高中数学 来源:2014-2015学年浙江省嵊州市高一竞赛数学试卷(解析版) 题型:解答题

(本小题满分10分)

已知点在函数图象上,数列是以为公比的等比数列,

(Ⅰ)设,且,求的值;

(Ⅱ)令,当时,证明:

查看答案和解析>>

科目:高中数学 来源:2014-2015学年浙江省嵊州市高二下期末检测理科数学B卷(解析版) 题型:填空题

已知实数满足的最小值为 ,该不等式组所围成的区域的面积为

查看答案和解析>>

科目:高中数学 来源:2014-2015学年浙江省嵊州市高二下期末检测理科数学A卷(解析版) 题型:选择题

,则

A. B.

C. D.

查看答案和解析>>

科目:高中数学 来源:2014-2015学年山西省高二下学期期中文科数学试卷(解析版) 题型:填空题

在直角坐标系xoy中,曲线C的参数方程是为参数),若以O为极点,x轴正半轴为极轴,则曲线C的极坐标方程是

查看答案和解析>>

科目:高中数学 来源:2014-2015学年山西省高二下学期期中理科数学试卷(解析版) 题型:选择题

( )

A. B.

C. D.

查看答案和解析>>

科目:高中数学 来源:2014-2015学年吉林省长春市高一下学期期末理科数学试卷(解析版) 题型:选择题

三棱锥三条侧棱两两垂直,PA=a,PB=b,PC=c,三角形ABC的面积为S,则顶点P到底面的距离是( )

A. B. C. D.

查看答案和解析>>

科目:高中数学 来源:2015-2016学年重庆市高一10月月考数学试卷(解析版) 题型:选择题

已知全集

( )

A. B. C. D.

查看答案和解析>>

同步练习册答案