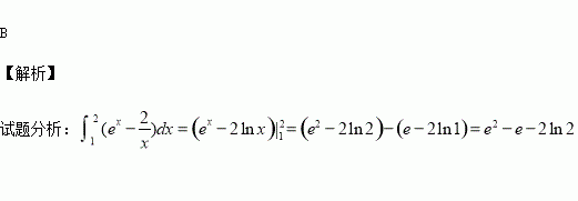
精英家教网 > 高中数学 > 题目详情

( )

A. B.

C. D.

练习册系列答案
相关习题

科目:高中数学 来源:2015-2016学年四川成都七中高二10月段考文科数学试卷(解析版) 题型:选择题

若直线始终平分圆的周长,则的最小值为( )

A. B. C. D.

查看答案和解析>>

科目:高中数学 来源:2014-2015学年浙江省嵊州市高二下期末检测文科数学A卷(解析版) 题型:填空题

已知平面向量,且,则

查看答案和解析>>

科目:高中数学 来源:2014-2015学年四川省宜宾市高一下学期期末测试数学试卷(解析版) 题型:选择题

如图,在山顶测得山下塔顶和塔底的俯角分别为30°和60°,已知塔高,则山高

(A) (B)

(C) (D)

查看答案和解析>>

科目:高中数学 来源:2014-2015学年山西省高二下学期期中文科数学试卷(解析版) 题型:选择题

若根据10名儿童的年龄 x(岁)和体重 y(㎏)数据用最小二乘法得到用年龄预报体重的回归方程是 y = 2 x + 7 ,已知这10名儿童的年龄分别是 2、3、3、5、2、6、7、3、4、5,则这10名儿童的平均体重是( )

A.17 ㎏ B.16 ㎏ C.15 ㎏ D.14㎏

查看答案和解析>>

科目:高中数学 来源:2014-2015学年山西省高二上学期第一次月考数学试卷(解析版) 题型:填空题

已知函数的值是__________.

查看答案和解析>>

科目:高中数学 来源:2014-2015学年江西省上饶市等四校高一6月考理科数学试卷(解析版) 题型:选择题

在等差数列{an}中,若( ).

A、45 B、75 C、180 D、300

查看答案和解析>>

科目:高中数学 来源:2014-2015学年贵州省高二上学期期中文科数学试卷(解析版) 题型:选择题

甲、乙、丙三名同学站成一排,甲站在中间的概率是( )。

A. B. C. D.

查看答案和解析>>

科目:高中数学 来源:2015-2016学年江西新余一中高一上第一次段考数学试卷(解析版) 题型:解答题

(本小题满分12分 )已知定义在区间(﹣1,1)上的函数是奇函数,且

(1)确定的解析式;

(2)判断的单调性并用定义证明;

查看答案和解析>>

同步练习册答案