精英家教网 > 高中数学 > 题目详情

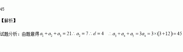
在各项都为正数的等比数列{an}中,首项a1=3,前3项和为21,则a3+a4+a5=_____.

练习册系列答案
相关习题

科目:高中数学 来源:2015-2016学年湖北省高二上期中文科数学试卷(解析版) 题型:填空题

已知椭圆E的中心为坐标原点,离心率为,E的右焦点与抛物线的焦点重合,是C的准线与E的两个交点,则

查看答案和解析>>

科目:高中数学 来源:2015-2016学年湖北省高二上学期期中理科数学试卷(解析版) 题型:选择题

命题:“”的否定为:( )

A. B.

C. D.

查看答案和解析>>

科目:高中数学 来源:2015-2016学年广东省英德市高二上学期第一次月考理科数学试卷(解析版) 题型:选择题

命题的否定是( )

A. B.

C. D.

查看答案和解析>>

科目:高中数学 来源:2015-2016学年甘肃省定西市高一上学期第一次月考数学试卷(解析版) 题型:填空题

已知集合

查看答案和解析>>

科目:高中数学 来源:2014-2015学年上海市高一下学期期末考试数学试卷(解析版) 题型:选择题

利用数学归纳法证明“”,在验证成立时,等号左边是 ( )

A. B. C. D.

查看答案和解析>>

科目:高中数学 来源:2016届浙江省高三10月月考文科数学试卷(解析版) 题型:选择题

为实数,则“”是“”的( )

A.充分不必要条件 B.必要不充分条件

C.充分必要条件 D.既不充分又不必要条件

查看答案和解析>>

科目:高中数学 来源:2015-2016学年四川成都市六校高一上学期期中联考数学试卷(解析版) 题型:选择题

下列四组函数中,表示同一函数的是( )

A.

B.

C.

D.

查看答案和解析>>

科目:高中数学 来源:2015-2016学年福建三明一中高二上第二次月考文数学卷(解析版) 题型:解答题

在平面直角坐标系中,点到两点的距离之和等于4,设点的轨迹为

(1)写出曲线的方程;

(2)设直线与曲线交于A、B两点,为何值时,,此时的值为多少?

查看答案和解析>>

同步练习册答案