精英家教网 > 高中数学 > 题目详情

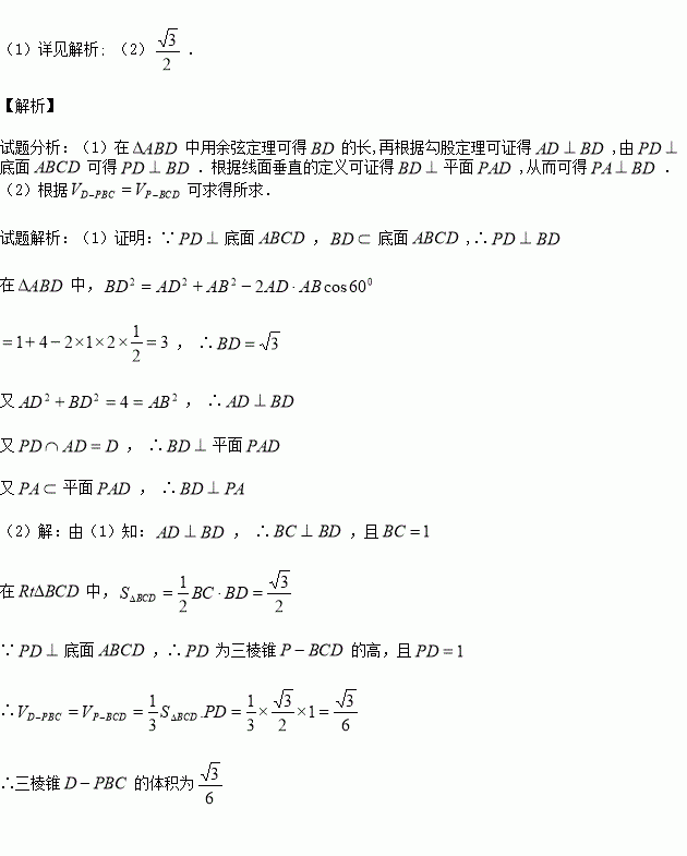
(本小题满分12分)

如图,四棱锥中,底面为平行四边形,

底面

(1)证明:

(2)求三棱锥的体积.

练习册系列答案
相关习题

科目:高中数学 来源:2015-2016学年四川省德阳市高二10月月考数学试卷(解析版) 题型:填空题

一条长为2的线段,它的三个视图分别是长为的三条线段,则的最大值为_______

查看答案和解析>>

科目:高中数学 来源:2015-2016学年河北省高二10月月考文科数学试卷(解析版) 题型:选择题

已知中心在原点的椭圆C的上焦点为,离心率等于,则C的方程是 ( )

A. B.

C. D.

查看答案和解析>>

科目:高中数学 来源:2015-2016学年广东省普宁市高二上期中考试理科数学试卷(解析版) 题型:选择题

△ABC中,AB=5,BC=6,AC=8,则△ABC的形状是( )

A.锐角三角形 B.直角三角形

C.钝角三角形 D.非钝角三角形

查看答案和解析>>

科目:高中数学 来源:2015-2016学年广东省高一上学期期中考试数学试卷(解析版) 题型:填空题

化简式子=

查看答案和解析>>

科目:高中数学 来源:2015-2016学年广东省高二上学期期中考试理科数学试卷(解析版) 题型:解答题

(本小题满分12分)

某工厂为了对新研发的一种产品进行合理定价,将对该产品按事先拟定的价格进行试销,得到如下数据:

单价x(元)

8

8.2

8.4

8.6

8.8

9

销售y(件)

90

84

83

80

75

68

(1)请根据上表提供的数据,用最小二乘法求出关于的线性回归方程

其中(

(2)预计在今后的销售中,销售与单价仍然服从(1)中的关系,且该产品的成本是4元/件,为使工厂获得最大利润,该产品的单价应定为多少元?(利润=销售收入-成本)

查看答案和解析>>

科目:高中数学 来源:2015-2016学年安徽省高一上学期第一次月考数学试卷(解析版) 题型:解答题

(本小题满分10分)设,为实数)

(Ⅰ)分别求

(Ⅱ)若,求的取值范围.

查看答案和解析>>

科目:高中数学 来源:2016届云南省高三上学期第一次月考理科数学试卷(解析版) 题型:填空题

命题“?”为假命题,则实数的取值范围是________.

查看答案和解析>>

科目:高中数学 来源:2014-2015学年浙江宁波效实中学高三上学期期中文科数学试卷(解析版) 题型:选择题

在各项均为正数的等比数列中,,则( )

A.8 B.6 C.4 D.

查看答案和解析>>

同步练习册答案