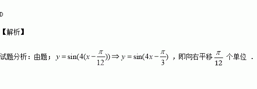
精英家教网 > 高中数学 > 题目详情

要得到函数的图象,只需要将函数的图象( )

A.向左平移个单位

B.向右平移个单位

C.向左平移个单位

D.向右平移个单位

练习册系列答案
相关习题

科目:高中数学 来源:2016届广西柳州市高三下4月模拟文科数学试卷(解析版) 题型:选择题

已知抛物线的焦点为,过点的直线与抛物线交于两点,且直线与圆交于两点.若,则直线的斜率为( )

A. B. C. D.

查看答案和解析>>

科目:高中数学 来源:2015-2016学年广东省惠州市高二下期中文科数学试卷(解析版) 题型:填空题

学校为了调查学生在课外读物方面的支出情况,抽出了一个容量为的样本,其频率分布直方图如图所示,其中支出在元的同学有人,则的值为___________.

查看答案和解析>>

科目:高中数学 来源:2015-2016学年广东省惠州市高二下期中理科数学试卷(解析版) 题型:解答题

下表提供了甲产品的产量(吨)与利润(万元)的几组对照数据.

(1)请根据上表提供的数据,用最小二乘法求出关于的线性回归方程

(2)计算相关指数的值,并判断线性模型拟合的效果.

参考公式:

查看答案和解析>>

科目:高中数学 来源:2015-2016学年广东省惠州市高二下期中理科数学试卷(解析版) 题型:填空题

的内角的对边分别为.若,则_____________

查看答案和解析>>

科目:高中数学 来源:2015-2016学年广东省惠州市高二下期中理科数学试卷(解析版) 题型:选择题

分别为的三边的中点,则( )

A. B. C. D.

查看答案和解析>>

科目:高中数学 来源:2015-2016学年安徽省高二下期中文科数学试卷(解析版) 题型:解答题

已知函数,当时,有极大值

(1)求函数的解析式并写出它的单调区间

(2)求此函数在[-2,2]上的最大值和最小值

查看答案和解析>>

科目:高中数学 来源:2015-2016学年安徽省高二下期中文科数学试卷(解析版) 题型:选择题

对于常数,“”是“方程的曲线是椭圆”的( )

A、充分不必要条件 B、必要不充分条件

C、充分必要条件 D、既不充分也不必要条件

查看答案和解析>>

科目:高中数学 来源:2015-2016学年陕西省西安市高一下期末考试数学试卷(解析版) 题型:选择题

根据下列算法语句, 当输入x为60时, 输出y的值为( )

A.25 B.30 C.31 D.61

查看答案和解析>>

同步练习册答案