精英家教网 > 高中数学 > 题目详情

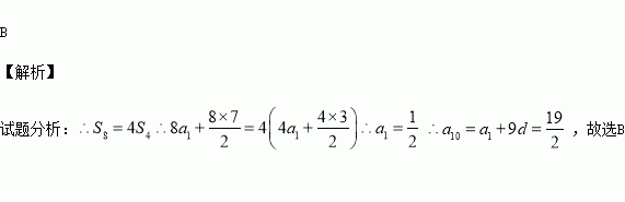
已知是公差为1的等差数列,的前项和,若,则

A. B. C. D.

练习册系列答案
相关习题

科目:高中数学 来源:2015-2016学年湖北省高一上学期期中数学试卷(解析版) 题型:解答题

(本大题满分12分)如图所示,有一块半径为的半圆形钢板,设计剪裁成矩形ABCD的形状,它的边在圆O的直径上,边CD的端点在圆周上,若设矩形的边

(1)将矩形的面积表示为关于的函数,并求其定义域;

(2)求矩形面积的最大值及此时边的长度.

查看答案和解析>>

科目:高中数学 来源:2016届浙江宁波效实中学高三上期中考试理科数学试卷(解析版) 题型:选择题

函数上的单调递减函数,则实数的取值范围是( )

A. B.

C. D.

查看答案和解析>>

科目:高中数学 来源:2016届河南省原名校高三上学期第一次联考文科数学试卷(解析版) 题型:选择题

已知全集,集合,则( )

A. B.

C. D.

查看答案和解析>>

科目:高中数学 来源:2015-2016学年浙江省宁波市高一上期中数学试卷(解析版) 题型:选择题

不等式的解集为,则函数的图象为( )

查看答案和解析>>

科目:高中数学 来源:2015-2016学年四川绵阳南山中学高二上期中理科数学试卷(解析版) 题型:选择题

已知抛物线的方程为,一条长度为的线段的两个端点

在抛物线上运动,则线段的中点轴距离的最小值为 ( )

A、 B、 C、 D、

查看答案和解析>>

科目:高中数学 来源:2015-2016学年湖北省高二上期中文科数学试卷(解析版) 题型:选择题

过双曲线C:=1的右顶点作x轴的垂线,与C的一条渐近线相交于点A.若以C的右焦点为圆心、半径为4的圆经过A,O两点(O为坐标原点),则双曲线C的方程为( )

A.=1 B.=1 C.=1 D.=1

查看答案和解析>>

科目:高中数学 来源:2015-2016学年陕西省高二上学期期中考试数学试卷(解析版) 题型:选择题

若不等式的解集为,则值是( )

A.-10 B.-14 C.10 D.14

查看答案和解析>>

科目:高中数学 来源:2015-2016学年广东省普宁市高一上学期期中考试数学试卷(解析版) 题型:填空题

定义一种运算,令,且,则函数的最大值是

查看答案和解析>>

同步练习册答案