精英家教网 > 高中数学 > 题目详情

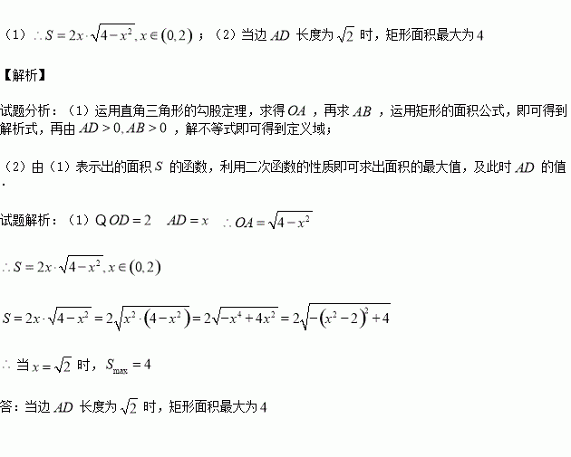
(本大题满分12分)如图所示,有一块半径为的半圆形钢板,设计剪裁成矩形ABCD的形状,它的边在圆O的直径上,边CD的端点在圆周上,若设矩形的边

(1)将矩形的面积表示为关于的函数,并求其定义域;

(2)求矩形面积的最大值及此时边的长度.

练习册系列答案
相关习题

科目:高中数学 来源:2016届辽宁省葫芦岛市高三上学期期中文科数学试卷(解析版) 题型:选择题

数列中,(其中),则使得成立的的最小值为

A. B. C. D.

查看答案和解析>>

科目:高中数学 来源:2015-2016学年江西南昌二中高二上学期期中文科数学试卷(解析版) 题型:选择题

直线的倾斜角为

A. B. C. D.

查看答案和解析>>

科目:高中数学 来源:2015-2016学年吉林实验中学高二上学期期中文科数学试卷(解析版) 题型:选择题

A.充分不必要条件

B.必要不充分条件

C.充要条件

D.既不充分也不必要条件

查看答案和解析>>

科目:高中数学 来源:2015-2016学年湖南省常德市高一上学期期中数学试卷(解析版) 题型:解答题

(共12分)已知函数,其中

(1)若,求满足的取值范围;

(2)求关于的不等式的解集.

查看答案和解析>>

科目:高中数学 来源:2015-2016学年湖北省高一上学期期中数学试卷(解析版) 题型:选择题

若集合,则( )

A. B. C. D.

查看答案和解析>>

科目:高中数学 来源:2015-2016学年福建省高一上学期期中数学试卷(解析版) 题型:填空题

设函数,对任意的 x1、x2(x1≠x2),考虑如下结论:

①f (x1·x2)=f (x1) + f (x2);

②f (x1 + x2)=f (x1)·f (x2);

③f (-x1)=

< 0 (x1 ≠ 0);

则上述结论中正确的是 .(只填入正确结论对应的序号)

查看答案和解析>>

科目:高中数学 来源:2015-2016学年甘肃省嘉峪关市高二上学期期中考试理科数学试卷(解析版) 题型:填空题

已知满足约束条件,且的最小值为6,则常数

查看答案和解析>>

科目:高中数学 来源:2015-2016学年四川绵阳南山中学高二上期中文科数学试卷(解析版) 题型:选择题

已知是公差为1的等差数列,的前项和,若,则

A. B. C. D.

查看答案和解析>>

同步练习册答案