精英家教网 > 高中数学 > 题目详情

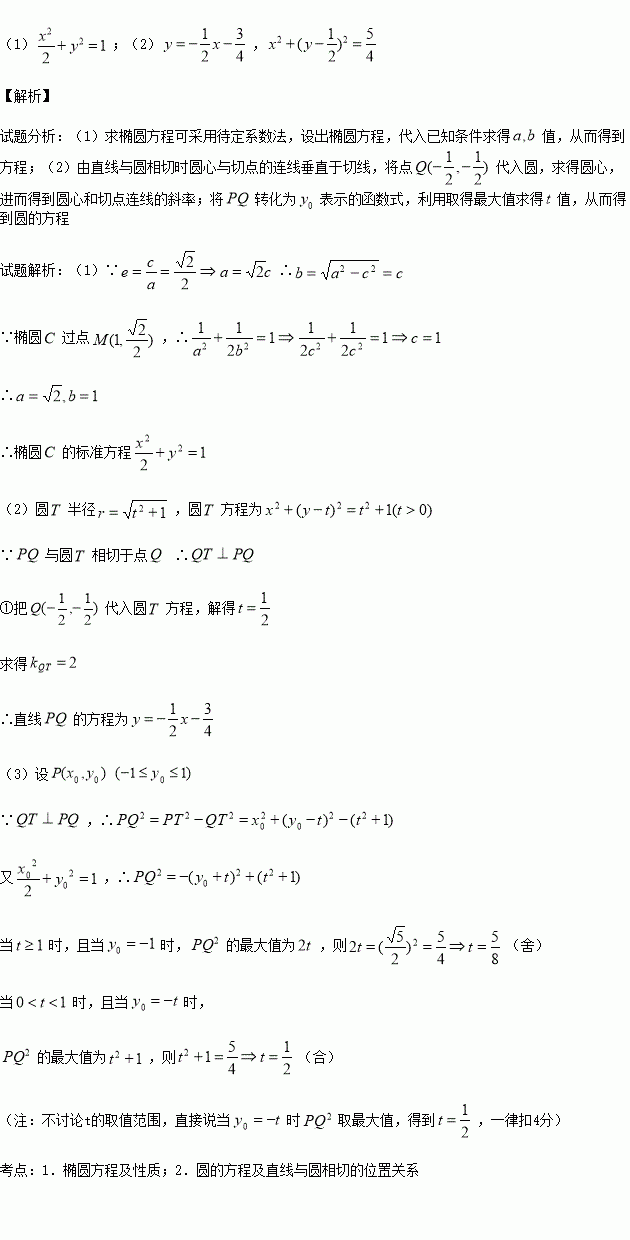
如图,在平面直角坐标系中,椭圆过点,离心率为椭圆的左右焦点.

(1)求椭圆的标准方程;

(2)设圆的圆心轴上方,且圆经过椭圆两焦点.点为椭圆上的一动点,与圆相切于点

①当时,求直线的方程;

②当取得最大值为时,求圆方程.

练习册系列答案
相关习题

科目:高中数学 来源:2015-2016学年山东省新泰市高二上学期期中考试理科数学试卷(解析版) 题型:填空题

__________.

查看答案和解析>>

科目:高中数学 来源:2016届山东师大附中高三上学期第三次模拟文科数学试卷(解析版) 题型:选择题

,则下列命题中成立的是( )

A. B. C. D.

查看答案和解析>>

科目:高中数学 来源:2016届重庆市高三12月月考文科数学试卷(解析版) 题型:解答题

设函数

(1)当时,求不等式的解集;

(2)对任意恒有,求实数的取值范围.

查看答案和解析>>

科目:高中数学 来源:2016届重庆市高三12月月考理科数学试卷(解析版) 题型:解答题

中,已知角的对边分别为,且

(1)求的大小;

(2)若,试判断的形状.

查看答案和解析>>

科目:高中数学 来源:2015-2016学年河北省、永年二中高二上期中理科数学试卷(解析版) 题型:解答题

已知函数

(1)求不等式的解集;

(2)若对一切,均有成立,求实数m的取值范围.

查看答案和解析>>

科目:高中数学 来源:2015-2016学年广西钦州港经济技术开发区中学高二上期中文科数学卷(解析版) 题型:解答题

如图,在底面半径为2母线长为4的圆锥中内接一个高为的圆柱,求圆柱的表面积.

查看答案和解析>>

科目:高中数学 来源:2015-2016年湖南省株洲市高二上第二次月考理数学卷(解析版) 题型:解答题

如图所示,在四棱锥P?ABCD中,PA⊥平面ABCD,AC⊥AD,AB⊥BC,∠BAC=45°,PA=AD=2,AC=1.

(1)证明:PC⊥AD;

(2)求二面角A-PC-D的正弦值.

查看答案和解析>>

科目:高中数学 来源:2015-2016学年福建省高一上期中数学试卷(解析版) 题型:选择题

在△ABC中,角A,B,C的对边分别为a,b,c,若2b=a+c,则角B的取值范围是( )

A. B. C. D.

查看答案和解析>>

同步练习册答案