精英家教网 > 高中数学 > 题目详情

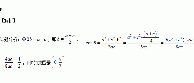
在△ABC中,角A,B,C的对边分别为a,b,c,若2b=a+c,则角B的取值范围是( )

A. B. C. D.

练习册系列答案
相关习题

科目:高中数学 来源:2015-2016学年江苏省江阴市华士、成化、山观三校高二上期中数学卷(解析版) 题型:解答题

如图,在平面直角坐标系中,椭圆过点,离心率为椭圆的左右焦点.

(1)求椭圆的标准方程;

(2)设圆的圆心轴上方,且圆经过椭圆两焦点.点为椭圆上的一动点,与圆相切于点

①当时,求直线的方程;

②当取得最大值为时,求圆方程.

查看答案和解析>>

科目:高中数学 来源:2015-2016学年河南省高二上期中文科数学试卷(解析版) 题型:解答题

已知的充分而不必要条件,求实数m的取值范围.

查看答案和解析>>

科目:高中数学 来源:2015-2016学年河北邢台一中高二上第三次月考理科数学卷(解析版) 题型:填空题

已知椭圆: ,左右焦点分别为,过的直线交椭圆于 两点,则的最大值为________.

查看答案和解析>>

科目:高中数学 来源:2015-2016学年海南省高一上第三次月考数学试卷(解析版) 题型:选择题

,则的大小关系是( )

A. B. C. D.

查看答案和解析>>

科目:高中数学 来源:2015-2016学年四川省实验学校高一上学期期中考试数学试卷(解析版) 题型:填空题

若存在,使得不等式成立,则实数______.

查看答案和解析>>

科目:高中数学 来源:2015-2016学年贵州省高二上滾动训练4数学试卷(解析版) 题型:选择题

已知平面向量=(2,4),=(-1,2),若,则等于( ).

A.4 B.2 C.8 D.8

查看答案和解析>>

科目:高中数学 来源:2015-2016学年贵州省高二上滾动训练1数学试卷(解析版) 题型:选择题

已知某几何体的三视图如下,根据图中标出的尺寸(单位:cm),可得这个几何体的体积是( )

A.cm3 B.cm3

C.cm3 D.cm3

查看答案和解析>>

科目:高中数学 来源:2016届山西省高三上期中文科数学试卷(解析版) 题型:解答题

某市政府欲在如图所示的矩形的非农业用地中规划出一个休闲娱乐公园(如图中阴影部分),形状为直角梯形(线段为两条底边),已知,其中曲线是以为顶点、为对称轴的抛物线的一部分.

(1)以为原点,所在直线为轴建立直角坐标系,求曲线所在抛物线的方程;

(2)求该公园的最大面积.

查看答案和解析>>

同步练习册答案