精英家教网 > 高中数学 > 题目详情

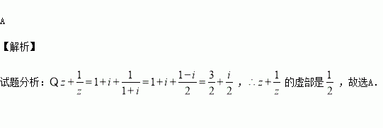
设复数是虚数单位),则复数的虚部是( )

A. B. C. D.

练习册系列答案
相关习题

科目:高中数学 来源:2016届江苏省盐城市高三上12月月测数学试卷(解析版) 题型:填空题

(2015秋•盐城校级月考)已知集合A={1,0,﹣e,﹣2i2}(i是虚数单位),B={x|x2﹣1>0},则A∩B=

查看答案和解析>>

科目:高中数学 来源:2016届河北省高三上学期周日测试理科数学试卷(解析版) 题型:解答题

已知函数

(1)时,证明:

(2),若,求的取值范围.

查看答案和解析>>

科目:高中数学 来源:2016届黑龙江省高三12月考理科数学试卷(解析版) 题型:选择题

是第三象限的角,则( )

A. B. C. D.

查看答案和解析>>

科目:高中数学 来源:2016届云南省玉溪市高三第四次月考文科数学试卷(解析版) 题型:解答题

选修4-5:不等式选讲

设函数 的最小值为

(1)求;

(2)已知两个正数满足,求的最小值.

查看答案和解析>>

科目:高中数学 来源:2015-2016学年云南省昭通市高二上12月月考理科数学卷(解析版) 题型:选择题

(2013•山东)将某选手的9个得分去掉1个最高分,去掉1个最低分,7个剩余分数的平均分为91,现场做的9个分数的茎叶图后来有一个数据模糊,无法辨认,在图中以x表示:则7个剩余分数的方差为( )

A. B. C.36 D.

查看答案和解析>>

科目:高中数学 来源:2015-2016学年云南省高一上10月月考数学试卷(解析版) 题型:解答题

(2015秋•红河州校级月考)已知集合A={x|1≤x≤a},B={y|y=5x﹣6,x∈A},C={m|m=x2,x∈A}且B∩C=C,求a的取值范围.

查看答案和解析>>

科目:高中数学 来源:2015-2016学年辽宁省高二上10月月考文科数学试卷(解析版) 题型:解答题

(2015秋•沈阳校级月考)某企业为了解下属某部门对本企业职工的服务情况,随机访问50名职工,根据这50名职工对该部门的评分,绘制频率分布直方图(如图所示),其中样本数据分组区间为[40,50],[50,60],…,[80,90],[90,100]

(Ⅰ)求频率分布图中a的值;

(Ⅱ)估计该企业的职工对该部门评分不低于80的概率;

(Ⅲ)求出本次评分的众数、中位数、平均数.

查看答案和解析>>

科目:高中数学 来源:2015-2016学年河南省高二上12月月考文科数学试卷(解析版) 题型:填空题

(2015秋•东营校级期中)已知f(x)=x2+2xf′(1),则f′(0)=

查看答案和解析>>

同步练习册答案