精英家教网 > 高中数学 > 题目详情

选修4-5:不等式选讲

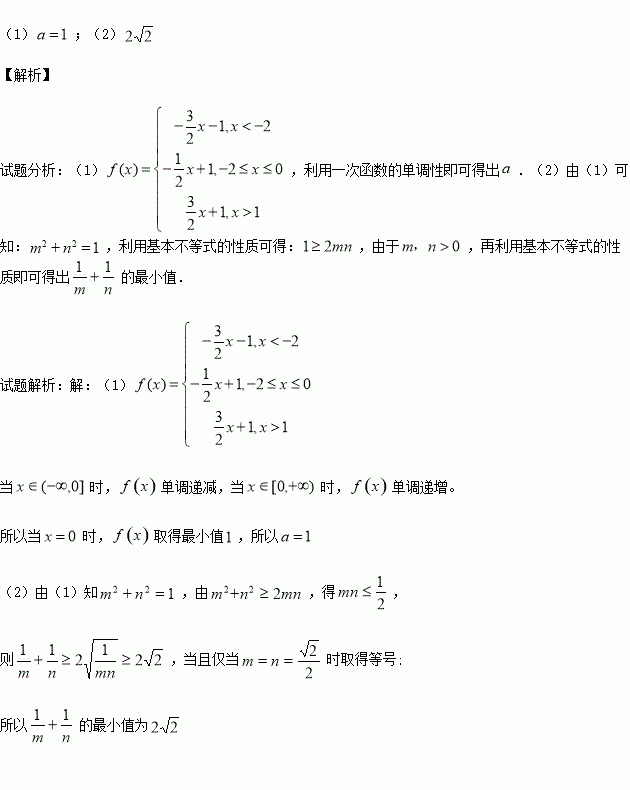
设函数 的最小值为

(1)求;

(2)已知两个正数满足,求的最小值.

练习册系列答案
相关习题

科目:高中数学 来源:2016届宁夏石嘴山三中高三补习班上第三次适应性考试数学试卷(解析版) 题型:选择题

(2013秋•成安县校级期中)已知等比数列{an}的首项a1=1,公比q=2,则log2a1+log2a2+…+log2a11=( )

A.50 B.35 C.55 D.46

查看答案和解析>>

科目:高中数学 来源:2015-2016学年四川省高二上周末练习理科数学卷(解析版) 题型:选择题

如图,二面角的大小是,线段所成的角为,则与平面所成的角的正弦值是( )

A. B. C. D.

查看答案和解析>>

科目:高中数学 来源:2016届黑龙江省高三12月考理科数学试卷(解析版) 题型:解答题

设函数

(Ⅰ)若函数上为减函数,求实数的最小值;

(Ⅱ)若存在,使成立,求实数的取值范围.

查看答案和解析>>

科目:高中数学 来源:2016届黑龙江省高三12月考文科数学试卷(解析版) 题型:解答题

如图所示,四棱锥的底面是直角梯形, 底面,过的平面交,交不重合).

(Ⅰ)求证:

(Ⅱ)如果,求此时的值.

查看答案和解析>>

科目:高中数学 来源:2016届云南省玉溪市高三第四次月考文科数学试卷(解析版) 题型:选择题

设复数是虚数单位),则复数的虚部是( )

A. B. C. D.

查看答案和解析>>

科目:高中数学 来源:2015-2016学年云南省昭通市高二上9月月考试数学试卷(解析版) 题型:解答题

(2014秋•合阳县校级期末)已知圆C:(x﹣1)2+(y﹣2)2=25,直线l:(2m+1)x+(m+1)y﹣7m﹣4=0,

(1)求证:直线l恒过定点;

(2)判断直线l被圆C截得的弦长何时最长,何时最短?并求截得的弦长最短时,求m的值以及最短长度.

查看答案和解析>>

科目:高中数学 来源:2015-2016学年辽宁省沈阳市高一上第一次月考数学试卷(解析版) 题型:解答题

(2015秋•沈阳校级月考)已知定义域为R的奇函数f(x),当x>0时,f(x)=x2﹣3.

(1)当x<0时,求函数f(x)的解析式;

(2)求函数f(x)在R上的解析式;

(3)解方程f(x)=2x.

查看答案和解析>>

科目:高中数学 来源:2015-2016学年黑龙江省高一上11月月考数学试卷(解析版) 题型:选择题

(2008秋•诸暨市期末)已知函数f(x)的定义域为(﹣∞,0)∪(0,+∞),f(x)是奇函数,且当x>0时,f(x)=x2﹣x+a,若函数g(x)=f(x)﹣x的零点恰有两个,则实数a的取值范围是( )

A.a<0 B.a≤0 C.a≤1 D.a≤0或a=1

查看答案和解析>>

同步练习册答案