已知:函数f(x)是R上的单调函数,且f(3)=log23,对于任意x,y∈R都有f(x+y)=f(x)+f(y)成立.
(1)求证:f(x)是奇函数;
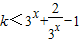
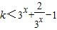
(2)若f(x)满足对任意实数x,f+f(3x-9x-2)<0恒成立,求k的范围.
【答案】
分析:(1)由f(x+y)=f(x)+f(y)可令x=y=0 有f (0 )=0,令y=-x 有:0=f(0)=f(x+(-x))=f(x)+f(-x)即证
(2)由f(k•3
x)+f(3
x-9
x-2)<0恒成立,且f ( x )是奇函数,则f(k•3
x)<f(-3
x+9
x+2)恒成立,f ( x )是R上的单调函数可得是增函数,于是可得

恒成立,利用基本不等式可求

的最小值可求k的范围
解答:(1)证明:∵f(x+y)=f(x)+f(y)∴令x=y=0 有f (0 )=0
令y=-x 有:0=f(0)=f(x+(-x))=f(x)+f(-x)即证f ( x )是奇函数.
(2)因为 对任意实数x,f(k•3
x)+f(3
x-9
x-2)<0恒成立,且f ( x )是奇函数f(k•3
x)<f(-3
x+9
x+2)恒成立 又R上的单调函数f ( x )满足f(3)=log
23>0
而f (0 )=0 从而有:f ( x )是R上的单调增函数
于是:k•3
x<-3
x+9
x+2
∴

恒成立,而

∴
点评:本题主要考查了利用赋值法求解抽象函数函数值,及利用赋值判断函数的奇偶性,函数的恒成立与求函数最值的相互转换,要注意基本不等式在求解函数最值中的应用.