精英家教网 > 高中数学 > 题目详情
设{an}是递增等差数列,前三项的和为12,前三项的积为48,则它的首项是( )
A.1
B.2
C.4
D.6
【答案】分析:由等差数列的性质可得a1+a3=2a2,又已知a1+a2+a3=12,可得a2=4,故条件转化为a1+a3=8,a1×a3=12,解方程即可求出a1
解答:解:设{an}的前3项为a1,a2,a3,则由等差数列的性质可得a1+a3=2a2
∴a1+a2+a3=3a2=12,解得a2=4,
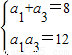
由题意可得,解得
∵{an}是递增等差数列,
∴a1=2,a3=6,
故选B.
点评:本题考查了等差数列的通项公式与等差数列的性质,应用了解方程思想,是高考重点考查的内容.
练习册系列答案
相关习题

科目:高中数学 来源: 题型:

已知单调递增的等比数列{an}满足:a2+a3+a4=28,且a3+2是a2,a4的等差中项.
(Ⅰ)求数列{an}的通项公式;
(Ⅱ)设bn=anlog
12
an,求数列{bn}
的前n项和Sn

查看答案和解析>>

科目:高中数学 来源: 题型:

已知数列{an}的各项均为正数,其前n项和为Sn,且an与1的等差中项等于Sn与1的等比中项.
(1)求a1的值及数列{an}的通项公式;
(2)设bn=
2
1+an
 
+(-1)n-1×2n+1λ
,若数列{bn}是单调递增数列,求实数λ的取值范围.

查看答案和解析>>

科目:高中数学 来源: 题型:

已知单调递增的等比数列{an}满足a2+a3+a4=28,a3+2是a2,a4的等差中项.
(1)求数列{an}的通项公式;
(2)设bn=-nan,求数列{bn}的前n项和Sn

查看答案和解析>>

科目:高中数学 来源: 题型:

设单调递增等比数列{an}满足a1+a2+a3=7,且a3是a1,a2+5的等差中项,
(1)求数列{an}的通项;
(2)数列{cn}满足:对任意正整数n,
c1
a1
+
c2
a2
+…+
cn
an
=22+
2n-11
2n-1
均成立,求数列{cn}的前n项和.

查看答案和解析>>

科目:高中数学 来源: 题型:

已知单调递增的等比数列{an}满足:a2+a3+a4=28,且a3+2是a2,a4的等差中项
①求数列{an}的通项公式;
②设bn=anlog2an,求数列{bn}的前n项和Sn

查看答案和解析>>

同步练习册答案