精英家教网 > 高中数学 > 题目详情

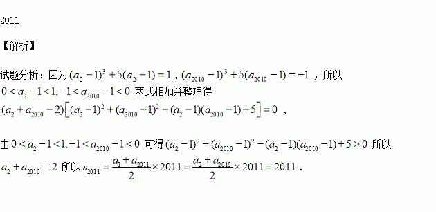
已知等差数列的前n项和为,若,,则

练习册系列答案
相关习题

科目:高中数学 来源:2015-2016学年贵州遵义航天高中高二3月考理科数学试卷(解析版) 题型:填空题

已知双曲线和椭圆有相同的焦点,且双曲线的离心率是椭圆离心率的两倍,则双曲线的方程为________

查看答案和解析>>

科目:高中数学 来源:2016届河南省洛阳市高三下学期第二次模拟理科数学试卷(解析版) 题型:解答题

设函数为自然对数的底数.

(1)若曲线在点 处的切线方程为,求实数的值;

(2)当时,若存在 ,使成立,求实数的最小值.

查看答案和解析>>

科目:高中数学 来源:2016届河南省洛阳市高三下学期第二次模拟理科数学试卷(解析版) 题型:选择题

已知函数①,③,④的部分图象如下,但顺序被打乱,则按照图象从左到右的顺序,对应的函数序号正确的一组是( )

①④②③ ①④③② ④①②③ ③④②①

查看答案和解析>>

科目:高中数学 来源:2015-2016学年广东省汕头市高一下期中数学试卷(解析版) 题型:填空题

已知A,B,C为△ABC的内角,tan A,tan B是关于x的方程x2+px-p+1=0(p∈R)的两个实根.

(1)求C的大小;

(2)若AB=3,AC=,求p的值.

查看答案和解析>>

科目:高中数学 来源:2015-2016学年广东省汕头市高一下期中数学试卷(解析版) 题型:选择题

已知等比数列{an}中,,为方程x2-10x+16=0的两根,则的值为( )

A.32 B.64 C.256 D.±64

查看答案和解析>>

科目:高中数学 来源:2015-2016学年广东省汕头市高一下期中数学试卷(解析版) 题型:选择题

已知中,,那么为( )

A. B. C. D.

查看答案和解析>>

科目:高中数学 来源:2016届江苏盐城三模数学试卷(解析版) 题型:填空题

已知线段的长为,动点满足为常数),且点总不在以点为圆心,为半径的圆内,则负数的最大值是 .

查看答案和解析>>

科目:高中数学 来源:2016届江苏省苏北三市高三最后一次模拟考试数学试卷(解析版) 题型:解答题

【选修4-2:矩阵与变换】

已知矩阵,向量,计算.

查看答案和解析>>

同步练习册答案