精英家教网 > 高中数学 > 题目详情

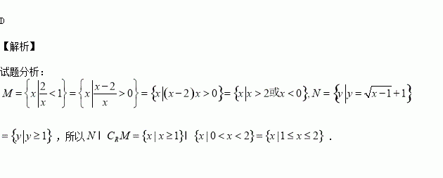
已知R是实数集,,则( )

A.(1,2) B.[0,2] C. D.[1,2]

练习册系列答案
相关习题

科目:高中数学 来源:2015-2016学年山东省乐陵市高一上学期期中考试数学试卷(解析版) 题型:解答题

为了保护环境,某工厂在国家的号召下,把废弃物回收转化为某种产品,经测算,处理成本(万元)与处理量(吨)之间的函数关系可近似的表示为:,且每处理一吨废弃物可得价值为万元的某种产品,同时获得国家补贴万元.当时,判断该项举措能否获利?如果能获利,求出最大利润;如果不能获利,请求出国家最少补贴多少万元,该工厂才不会亏损?

查看答案和解析>>

科目:高中数学 来源:2016届江苏省高三上第十八周周练数学试卷(解析版) 题型:解答题

如图,已知椭圆的右顶点为,点在椭圆上(为椭圆

的离心率).

(1)求椭圆的方程;

(2)若直线和椭圆交于点在第一象限内),且点也在椭圆上,,若

共线,求实数的值 .

查看答案和解析>>

科目:高中数学 来源:2016届四川省成都市高三11月段测三理科数学试卷(解析版) 题型:解答题

设命题p:|2x-3|<1;命题q:lg2x-(2t+l)lgx+t(t+l)≤0,

(1)若命题q所表示不等式的解集为A={x|l0≤x≤100},求实数t的值;

(2)若p是q的必要不充分条件,求实数t的取值范围.

查看答案和解析>>

科目:高中数学 来源:2016届江西省高三上学期第三次考试文科数学试卷(解析版) 题型:填空题

已知变量满足约束条件,若的最大值为5,且为负整数,则=____________.

查看答案和解析>>

科目:高中数学 来源:2016届江西省高三上学期第三次考试理科数学试卷(解析版) 题型:选择题

若函数的图像关于直线,则的最大值为( )

A.2 B. C. D.

查看答案和解析>>

科目:高中数学 来源:2015-2016学年浙江省高二上学期期中数学试卷(解析版) 题型:选择题

已知不等式组表示的平面区域为D,若函数的图象上存在区域D上的点,则实数m的取值范围是( )

A. B. C. D.

查看答案和解析>>

科目:高中数学 来源:2015-2016学年江苏省高一上学期期中数学试卷(解析版) 题型:填空题

函数的定义域为

查看答案和解析>>

科目:高中数学 来源:2015-2016学年陕西省西安市高二上学期期中考试理科数学试卷(解析版) 题型:选择题

为非零实数,且,则下列不等式成立的是( )

A. B. C. D.

查看答案和解析>>

同步练习册答案