精英家教网 > 高中数学 > 题目详情

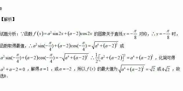
若函数的图像关于直线,则的最大值为( )

A.2 B. C. D.

练习册系列答案
相关习题

科目:高中数学 来源:2015-2016学年江西省南昌市高一10月月考数学试卷(解析版) 题型:解答题

已知f (x)是R上的偶函数,且在(0,+ )上单调递增,并且f (x)<0对一切成立,试判断在(-,0)上的单调性,并证明你的结论.

查看答案和解析>>

科目:高中数学 来源:2016届江苏省高三上第十八周周练数学试卷(解析版) 题型:填空题

设等比数列的前n项和为,若成等差数列,则的值是________.

查看答案和解析>>

科目:高中数学 来源:2016届江西省高三上学期第三次考试文科数学试卷(解析版) 题型:解答题

已知等比数列是递增数列,,数列满足,且

(Ⅰ)证明:数列是等差数列;

(Ⅱ)若对任意,不等式总成立,求实数的最大值.

查看答案和解析>>

科目:高中数学 来源:2016届江西省高三上学期第三次考试文科数学试卷(解析版) 题型:选择题

已知R是实数集,,则( )

A.(1,2) B.[0,2] C. D.[1,2]

查看答案和解析>>

科目:高中数学 来源:2015-2016学年浙江省高二上学期期中数学试卷(解析版) 题型:填空题

直线与直线,直线分别交于P、Q两点,PQ中点为,则直线的斜率是

查看答案和解析>>

科目:高中数学 来源:2015-2016学年西藏日喀则一中高二10月月考文数学试卷(解析版) 题型:填空题

不等式对任意实数恒成立,则实数的取值范围为

查看答案和解析>>

科目:高中数学 来源:2015-2016学年贵州遵义航天高中高二上学期期中数学试卷(解析版) 题型:选择题

正方体中,与平面所成角的余弦值( )

A. B. C. D.

查看答案和解析>>

科目:高中数学 来源:2015-2016学年辽宁省葫芦岛市高一上学期期中考试数学试卷(解析版) 题型:填空题

已知 是(-∞,+∞)上的增函数,那么a的取值范围是

查看答案和解析>>

同步练习册答案