精英家教网 > 高中数学 > 题目详情
某公司是一家专做产品A的国内外销售的企业,第一批产品A上市销售40天内全部售完.该公司对第一批产品A上市后的国内外市场销售情况进行了跟踪调查,调查结果如图中一、二、三所示,其中图一中的折线表示的是国外市场的日销售量与上市时间的关系;图二中的抛物线表示的是国内市场的日销售量与上市时间的关系;图三中的折线表示的是每件产品A的销售利润与上市时间的关系(国内外市场相同).
(1)分别写出国外市场的日销售量f(t)、国内市场的日销售量g(t)与第一批产品A上市时间t的关系式;
(2)第一批产品A上市后的哪几天,这家公司的日销售利润超过6300万元?
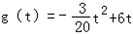
解:(1)
(0≤t≤40)
(2)每件产品A的销售利润h(t)与上市时间t的关系为

设这家公司的日销售利润为F(t),则
F(t)=
          =
当0≤t≤20时,
故F(t)在[0,20]上单调递增,
此时F(t)的最大值是F(20)=6000<6300;
当20<x≤30时,令60(﹣)>6300,解得
当30<x≤40时,F(t)=60()<60()=6300;
答:第一批产品A上市后,在第24,25,26,27,28,29天,这家公司的日销售利润超过6300万元.
练习册系列答案
相关习题

科目:高中数学 来源: 题型:

某公司是一家专做产品A的国内外销售的企业,每一批产品A上市销售40天全部售完,该公司对第一批产品A上市后的国内外市场的销售情况进行了跟踪调查,调查结果如图1、图2、图3所示,其中图1中的折线表示的是国内市场的日销售量与上市时间的关系;图2中的抛物线表示国外市场的日销售量与上市时间的关系;图3中的折线表示的是每件产品A的销售利润与上市时间的关系(国内外市场相同)
(1)分别写出国内市场的日销售量f(t),国外市场的日销售量g(t)与第一批产品A的上市时间t的关系式;
(2)每一批产品A上市后,问哪一天这家公司的日销售利润最大?最大是多少?
精英家教网

查看答案和解析>>

科目:高中数学 来源: 题型:

(2006•广州二模)某公司是一家专做产品A的国内外销售的企业,第一批产品A上市销售40天内全部售完.该公司对第一批产品A上市后的国内外市场销售情况进行了跟踪调查,调查结果如图中一、二、三所示,其中图一中的折线表示的是国外市场的日销售量与上市时间的关系;图二中的抛物线表示的是国内市场的日销售量与上市时间的关系;图三中的折线表示的是每件产品A的销售利润与上市时间的关系(国内外市场相同).
(1)分别写出国外市场的日销售量f(t)、国内市场的日销售量g(t)与第一批产品A上市时间t的关系式;
(2)第一批产品A上市后的哪几天,这家公司的日销售利润超过6300万元?

查看答案和解析>>

科目:高中数学 来源: 题型:

某公司是一家专做产品A的销售企业,第一批产品A上市销售后40天内全部售完.该公司对第一批产品A上市后的市场销售情况进行了跟踪调查,发现:市场的每天销售量(单位:百件)与上市时间f(单位:天)的关系是一条折线(如图①),每件产品A的销售利润(单位:元/件)与上市时间t(单位:天)的关系也是一条折线(如图②).

(Ⅰ)写出市场每天的销售量f(x)与产品A上市时间t的关系式(不需求解过程);
(11)第一批产品A上市后的哪几天,这家公司的日销售利润超过3 000(百元)?

查看答案和解析>>

科目:高中数学 来源: 题型:

(本题满分15分)

某公司是一家专做产品A的国内外销售的企业,每一批产品A上市销售40天全部售完,该公司对第一批产品A上市后的国内外市场的销售情况进行了跟踪调查,调查结果如图1、图2、图3所示,其中图1中的折线表示的是国内市场的日销售量与上市时间的关系;图2中的抛物线表示国外市场的日销售量与上市时间的关系;图3中的折线表示的是每件产品A的销售利润与上市时间的关系(国内外市场相同).

(1)分别写出国内市场的日销售量,国外市场的日销售量与第一批产品A的上市时间的关系式;

(2)每一批产品A上市后,问哪一天这家公司的日销售利润最大?最大是多少?

y日销利润(元/件)

 

y日销售量(万件)

 

y日销售量(万件)

 

O

 

60

 

60

 


O

 

t (天)

 

t (天)

 

20  40

 

30 40

 

       国内市场                              国外市场                        

         图1                      图2                  图3

     

查看答案和解析>>

科目:高中数学 来源:2011-2012学年江苏省镇江一中高一(上)期中数学试卷(解析版) 题型:解答题

某公司是一家专做产品A的国内外销售的企业,第一批产品A上市销售40天内全部售完.该公司对第一批产品A上市后的国内外市场销售情况进行了跟踪调查,调查结果如图中一、二、三所示,其中图一中的折线表示的是国外市场的日销售量与上市时间的关系;图二中的抛物线表示的是国内市场的日销售量与上市时间的关系;图三中的折线表示的是每件产品A的销售利润与上市时间的关系(国内外市场相同).
(1)分别写出国外市场的日销售量f(t)、国内市场的日销售量g(t)与第一批产品A上市时间t的关系式;
(2)第一批产品A上市后的哪几天,这家公司的日销售利润超过6300万元?

查看答案和解析>>

同步练习册答案