精英家教网 > 高中数学 > 题目详情

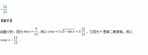
已知是第二象限角,

练习册系列答案
相关习题

科目:高中数学 来源:2015-2016年湖南省高一上学期期中考试数学试卷(解析版) 题型:解答题

已知全集,集合

(1)求

(2)求

(3)定义,求

查看答案和解析>>

科目:高中数学 来源:2016届重庆市高三12月月考文科数学试卷(解析版) 题型:选择题

已知双曲线的一个焦点在圆上,则双曲线的离心率为( )

A. B. C. D.

查看答案和解析>>

科目:高中数学 来源:2015-2016学年河北省、永年二中高二上期中理科数学试卷(解析版) 题型:选择题

已知,则下列命题为真命题的是( )

A. B. C. D.

查看答案和解析>>

科目:高中数学 来源:2015-2016学年湖南省株洲市高二上期中数学试卷(解析版) 题型:选择题

已知点P是边长为4的正方形内任一点,则点P到四个顶点的距离均大于2的概率是( )

A. B.1﹣ C. D.

查看答案和解析>>

科目:高中数学 来源:2015-2016年湖南省株洲市高二上第二次月考理数学卷(解析版) 题型:填空题

若直线与曲线有公共点,则的取值范围是

查看答案和解析>>

科目:高中数学 来源:2015-2016学年湖南省高二上期中数学试卷(解析版) 题型:选择题

如图,一圆形纸片的圆心为O,F是圆内一定点,M是圆周上一动点,把纸片折叠使M与F重合,然后抹平纸片,折痕为CD, 设CD与OM交于点P,则点P的轨迹是( )

A、椭圆 B、双曲线 C、抛物线 D、圆

查看答案和解析>>

科目:高中数学 来源:2015-2016学年河南省林州市高一上期中数学试卷(解析版) 题型:选择题

下列各组两个集合表示同一集合的是

A.

B.

C.

D.

查看答案和解析>>

科目:高中数学 来源:2015-2016学年贵州省高二上滾动训练1数学试卷(解析版) 题型:填空题

设变量x,y满足则x+2y的最大值为

查看答案和解析>>

同步练习册答案