精英家教网 > 高中数学 > 题目详情

如图,一圆形纸片的圆心为O,F是圆内一定点,M是圆周上一动点,把纸片折叠使M与F重合,然后抹平纸片,折痕为CD, 设CD与OM交于点P,则点P的轨迹是( )

A、椭圆 B、双曲线 C、抛物线 D、圆

练习册系列答案
相关习题

科目:高中数学 来源:2015-2016学年浙江省嘉兴市高二上12月月考数学卷(解析版) 题型:填空题

已知直线与圆心为的圆相交于两点,且为等边三角形,则实数=

查看答案和解析>>

科目:高中数学 来源:2015-2016学年江苏省江阴市华士、成化、山观三校高二上期中数学卷(解析版) 题型:填空题

已知命题,命题,则 条件.(选填“充分不必要”、“必要不充分”、“充要”、“既不充分也不必要”)

查看答案和解析>>

科目:高中数学 来源:2015-2016年湖南省株洲市高二上第二次月考文数学卷(解析版) 题型:填空题

已知是第二象限角,

查看答案和解析>>

科目:高中数学 来源:2015-2016年湖南省株洲市高二上第二次月考理数学卷(解析版) 题型:选择题

中,,BC=3,则的周长为( )

A.

B.

C.

D.

查看答案和解析>>

科目:高中数学 来源:2015-2016学年河南省高二上期中文科数学试卷(解析版) 题型:选择题

时,不等式恒成立,则实数的取值范围是

A. B. C. D.

查看答案和解析>>

科目:高中数学 来源:2015-2016学年河南省高二上期中理科数学试卷(解析版) 题型:选择题

命题“存在,使成立”的否定是

A.存在,使

B.不存在,使

C.对任意,都有

D.对任意,都有

查看答案和解析>>

科目:高中数学 来源:2015-2016学年福建省高一上期中数学试卷(解析版) 题型:解答题

已知等差数列{an}的前n项和为Sn,S5=35,a5和a7的等差中项为13.

(1)求an及Sn;

(2)令bn=(n∈N*),求数列{bn}的前n项和Tn.

查看答案和解析>>

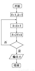
科目:高中数学 来源:2015-2016学年广东省惠州市高二上期中理科数学试卷(解析版) 题型:选择题

某程序框图如图所示,若输出的,则判断框内为( )

A. B. C. D.

查看答案和解析>>

同步练习册答案