精英家教网 > 高中数学 > 题目详情
已知数列满足a1=0,a2=2,且对任意m,都有
(1)求a3,a5
(2)求,证明:是等差数列;
(3)设,求数列的前n项和Sn
解:(1)由题意,令m=2,n=1可得
再令m=3,n=1可得.
(2)当时,由已知(以n+2代替m)可得
于是,
所以,数列是首项,公差为8的等差数列。          
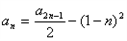
(3),则。    
另由已知(令m=1)可得,
那么,           
=2n
于是,
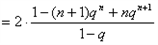
时,
时,两边同乘可得
上述两式相减即得=
所以
综上所述,,(q≠1)        
练习册系列答案
相关习题

科目:高中数学 来源:2014届北京师大附中高一第二学期期中考试数学试卷(解析版) 题型:解答题

(本题13分)已知数列满足a1=0,a2=2,且对任意m,都有

(1)求a3,a5

(2)求,证明:是等差数列;

(3)设,求数列的前n项和Sn

 

查看答案和解析>>

科目:高中数学 来源:2010年湖北省高二12月月考数学试卷 题型:解答题

已知数列满足a1=1,an+1>an,且(an+1-an)2-2(an+1+an)+1=0

(1)求a2、a3

(2)猜想的表达式,并用数学归纳法证明你的结论

 

查看答案和解析>>

科目:高中数学 来源:2010年普通高等学校招生全国统一考试(湖北卷)数学(理科) 题型:解答题

已知数列满足a1=1,an+1>an,且(an+1-an)2-2(an+1+an)+1=0

(1)求a2、a3

(2)猜想的表达式,并用数学归纳法证明你的结论

 

查看答案和解析>>

科目:高中数学 来源:月考题 题型:解答题

已知数列{}满足a1=0,a2=2,且对任意m、n∈N*都有a2m﹣1+a2n﹣1=2am+n﹣1+2(m﹣n)2
(1)求a3,a5
(2)设bn=a2n+1﹣a2n﹣1(n∈N*),证明:{bn}是等差数列;
(3)设cn=(+1)qn﹣1(q≠0,n∈N*),求数列{cn}的前n项和Sn

查看答案和解析>>

同步练习册答案