精英家教网 > 高中数学 > 题目详情

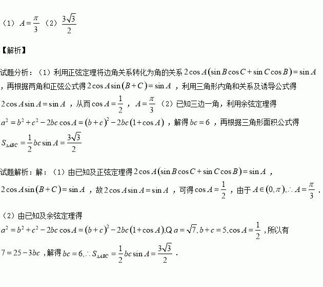
的内角的对边分别为,已知.

(1)求角;

(2)若,求的面积.

练习册系列答案
相关习题

科目:高中数学 来源:2017届河南濮阳第一高级中学高三上学期检测二数学(理)试卷(解析版) 题型:解答题

已知函数.

(1)若曲线处的切线与直线垂直,求实数的值;

(2)若,使得成立,求实数的取值范围.

查看答案和解析>>

科目:高中数学 来源:2017届广东海珠区高三上学期调研测试一数学文试卷(解析版) 题型:选择题

如图,在底面边长为1,高为2的正四棱柱中,点是平面内一点,则三棱锥的正视图与侧视图的面积之和为( )

A.2 B.3 C.4 D.5

查看答案和解析>>

科目:高中数学 来源:2015-2016内蒙古高一下期末数学试卷(解析版) 题型:选择题

若直线(a>0,b>0)过点(1,1),则a+b的最小值等于( )

A.2 B.3 C.4 D.5

查看答案和解析>>

科目:高中数学 来源:2015-2016内蒙古高一下期末数学试卷(解析版) 题型:选择题

如果a<b<0,那么下列不等式成立的是( )

A. B.ab<b2

C.﹣ab<﹣a2 D.

查看答案和解析>>

科目:高中数学 来源:2017届山东肥城市高三上学期升级统测数学(文)试卷(解析版) 题型:填空题

观察下列等式

………照此规律,第等式为

查看答案和解析>>

科目:高中数学 来源:2017届山东肥城市高三上学期升级统测数学(文)试卷(解析版) 题型:选择题

已知是实数,则“”是“直线与圆”相切的( )

A.充要条件 B.充分不必要条件

C.必要不充分条件 D.即不充分也不必要条件

查看答案和解析>>

科目:高中数学 来源:2017届山东肥城市高三上学期升级统测数学(理)试卷(解析版) 题型:选择题

定义在上的函数满足在区间上,,其中,若,则( )

A. B. C. D.

查看答案和解析>>

科目:高中数学 来源:2015-2016内蒙古高二上第二次月考文科数学卷(解析版) 题型:填空题

若点在直线上,则的值等于 .

查看答案和解析>>

同步练习册答案