精英家教网 > 高中数学 > 题目详情

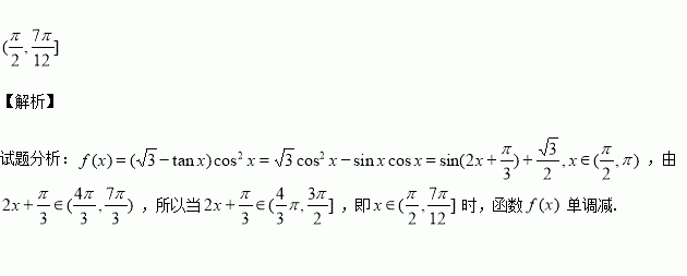
函数的单调减区间是_________.

练习册系列答案
相关习题

科目:高中数学 来源:2016届江苏省高三考前一周双练三模数学试卷(解析版) 题型:解答题

对于数列,若从第二项起,每一项与它前一项的差依次组成等比数列,则称该等比数列为“差等比数列”,现已知,设其差等比数列的首项为,公比为).

(1)是否存在,使得数列是等差数列或等比数列?若存在,求出的值;若不存在,请说明理由;

(2)当时,若是公差为的等差数列,且.试确定的取值范围,使得

查看答案和解析>>

科目:高中数学 来源:2016届四川省高三下三诊考试理科数学试卷(解析版) 题型:解答题

已知椭圆的离心率为,过焦点且垂直于轴的直线被椭圆截得的线段长为

(1)求椭圆的方程;

(2)直线与椭圆交于两点,以为直径的圆与轴正半轴交于点.是否存在实数,使得的内切圆的圆心在轴上?若存在,求出的值;若不存在,请说明理由.

查看答案和解析>>

科目:高中数学 来源:2016届四川省高三下三诊考试理科数学试卷(解析版) 题型:选择题

执行如图所示程序框图,则输出的为( )

A. B. C. D.

查看答案和解析>>

科目:高中数学 来源:2016届山西省高考考前质量检测三理科数学试卷(解析版) 题型:解答题

已知圆及点.

(Ⅰ)若线段的垂直平分线交圆两点,试判断四边形的形状,并给与证明;

(Ⅱ)过点的直线与圆交于两点,当的面积最大时,求直线的方程.

查看答案和解析>>

科目:高中数学 来源:2016届山西省高考考前质量检测三理科数学试卷(解析版) 题型:选择题

在体积为的三棱锥中,,且平面平面,若该三棱锥的四个顶点都在同一球面上,则该球的体积是( )

A. B. C. D.

查看答案和解析>>

科目:高中数学 来源:2016届山西省高考考前质量检测三理科数学试卷(解析版) 题型:选择题

下列函数中,在其定义域上为增函数的是( )

A. B. C. D.

查看答案和解析>>

科目:高中数学 来源:2016届河南省商丘市高三第三次模拟文科数学试卷(解析版) 题型:选择题

曲线与曲线有公共点,且在公共点处的切线相同,则的值为( )

A. B. C. D.

查看答案和解析>>

科目:高中数学 来源:2015-2016学年山东省高二下期中文科数学试卷(解析版) 题型:填空题

是定义在非零实数集上的函数,为其导函数,且时,,记,则的大小为 .

查看答案和解析>>

同步练习册答案