精英家教网 > 高中数学 > 题目详情

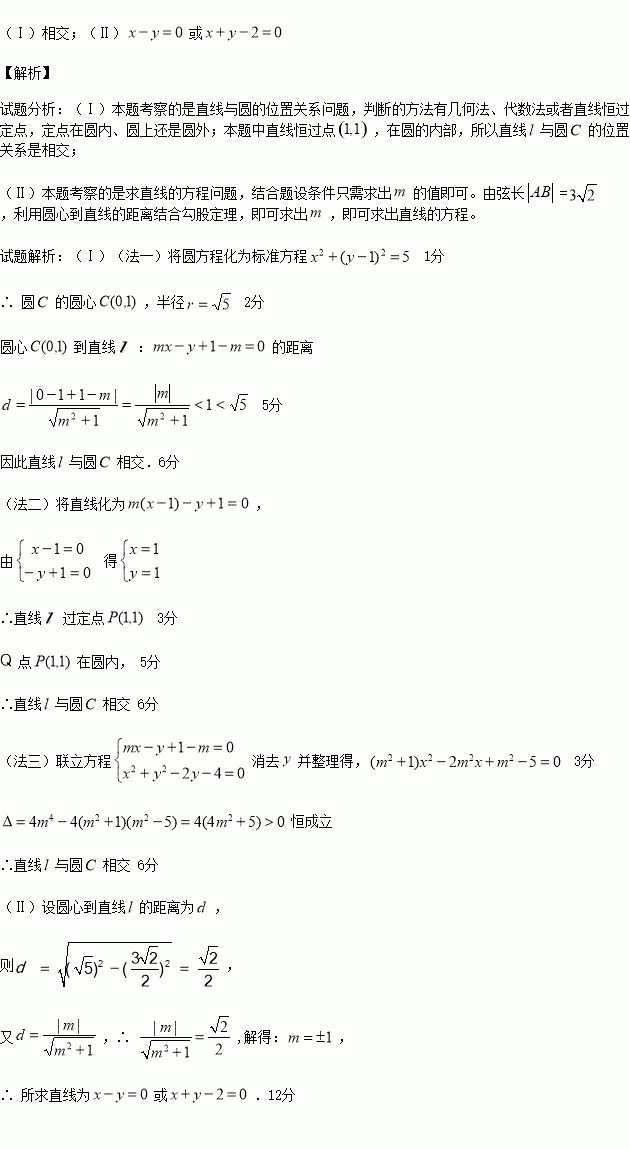
(本小题满分10分)已知圆C:,直线

(Ⅰ)判断直线与圆的位置关系。

(Ⅱ)若直线与圆交于不同两点,且=,求直线的方程。

练习册系列答案
相关习题

科目:高中数学 来源:2015-2016学年广东省普宁市高二上期中理科数学试卷(解析版) 题型:选择题

下面几种推理中是演绎推理的为

A.由金、银、铜、铁可导电,猜想:金属都可导电;

B.猜想数列的通项公式为

C.半径为圆的面积,则单位圆的面积

D.由平面直角坐标系中圆的方程为,推测空间直角坐标系中球的方程为

查看答案和解析>>

科目:高中数学 来源:2016届黑龙江省牡丹江市高三上学期期中文科数学试卷(解析版) 题型:解答题

已知.(1)求函数的单调区间;

(2)若关于的方程有实数解,求实数的取值范围;

(3)当时,求证:

查看答案和解析>>

科目:高中数学 来源:2016届福建省高三上学期期中理科数学试卷(解析版) 题型:解答题

(本题满分12分)中,上的点,平分面积是面积的2倍.

(Ⅰ) 求

(Ⅱ)若,求的长.

查看答案和解析>>

科目:高中数学 来源:2015-2016学年江西南昌二中高二上学期期中文科数学试卷(解析版) 题型:解答题

(本小题满分10分)如图,已知过点的光线,经轴上一点反射后的射线过点

(1)求点的坐标;

(2)若圆过点且与轴相切于点,求圆的方程.

查看答案和解析>>

科目:高中数学 来源:2015-2016学年吉林省高一上学期期中数学试卷(解析版) 题型:解答题

(本小题12分)已知函数的定义域是R,对任意实数x,y,均有,且当时,

(Ⅰ)证明:在R上是增函数;

(Ⅱ)判断的奇偶性,并证明;

(Ⅲ)若,求不等式的解集.

查看答案和解析>>

科目:高中数学 来源:2015-2016学年吉林实验中学高二上学期期中文科数学试卷(解析版) 题型:填空题

若直线y=x+b与曲线y=有公共点,则b的取值范围是________.

查看答案和解析>>

科目:高中数学 来源:2015-2016学年湖北省高一上学期期中数学试卷(解析版) 题型:填空题

函数的定义域为

查看答案和解析>>

科目:高中数学 来源:2016届浙江宁波效实中学高三上期中考试理科数学试卷(解析版) 题型:选择题

一个几何体的三视图如图所示,则该几何体的体积是( )

A.64 B.72 C.80 D.112

查看答案和解析>>

同步练习册答案