精英家教网 > 高中数学 > 题目详情
一个有限项的等差数列,前4项之和为40,最后4项之和是80,所有项之和是210,则此数列的项数为   
【答案】分析:由题意可得a1+a2+a3+a4=40,an+an-1+an-2+an-3=80,两式相加,且由等差数列的性质可求(a1+an)的值,代入等差数列的前n项和公式 ,结合已知条件可求n的值.
解答:解:由题意可得:
前4项之和为a1+a2+a3+a4=40①,
后4项之和为an+an-1+an-2+an-3=80②,
根据等差数列的性质①+②可得:
4(a1+an)=120⇒(a1+an)=30,
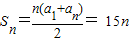
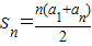
由等差数列的前n项和公式可得:=210,
所以n=14.
故答案为:14
点评:本题考查等差数列的定义和性质,以及等差数列前n项和公式的应用,根据题意,利用等差数列的性质求出a1+an的值是解题的难点和关键.
练习册系列答案
相关习题

科目:高中数学 来源: 题型:

一个有限项的等差数列,前4项之和为40,最后4项之和是80,所有项之和是210,则此数列的项数为(  )
A、10B、12C、14D、16

查看答案和解析>>

科目:高中数学 来源: 题型:

(2010•杭州模拟)一个有限项的等差数列,前4项之和为40,最后4项之和是80,所有项之和是210,则此数列的项数为
14
14

查看答案和解析>>

科目:高中数学 来源:2011届浙江省杭州市萧山九中高三寒假作业数学卷三 题型:单选题

一个有限项的等差数列,前4项之和为40,最后4项之和是80所有项之和是210,则此数列的项数为(   )

A.10B.12C.14D.16

查看答案和解析>>

科目:高中数学 来源:2010-2011学年浙江省杭州市高三寒假作业数学卷三 题型:选择题

一个有限项的等差数列,前4项之和为40,最后4项之和是80所有项之和是210,则此数列的项数为(    )

A.10       B.12      C.14          D.16

 

查看答案和解析>>

科目:高中数学 来源:2013届吉林省高一下学期期末考试文数 题型:选择题

一个有限项的等差数列,它的前5项的和为34,最后5项的和为146,所有项的和为234,则它的第七项等于                                                        (    )

A.22           B.21          C.19         D.18

 

查看答案和解析>>

同步练习册答案