精英家教网 > 高中数学 > 题目详情

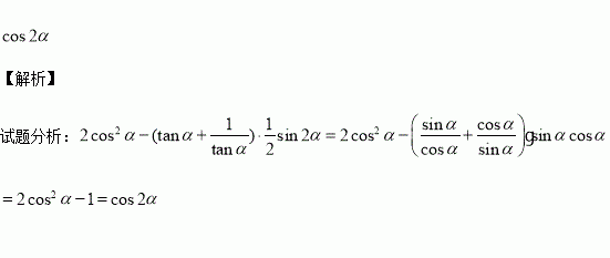
化简_______________.

练习册系列答案
相关习题

科目:高中数学 来源:2016届黑龙江省高三第一阶段考试理科数学试卷(解析版) 题型:填空题

,则的大小关系是__________________.(用“<”连接)

查看答案和解析>>

科目:高中数学 来源:2016届山东省乳山市高三10月月考理科数学试卷(解析版) 题型:选择题

,则的大小关系是( )

A. B. C. D.

查看答案和解析>>

科目:高中数学 来源:2015-2016学年河北省高二上学期第二次月考文数学试卷(解析版) 题型:解答题

已知关于x,y的方程C:

(1)若方程C表示圆,求的取值范围;

(2)若圆C与圆外切,求的值.

查看答案和解析>>

科目:高中数学 来源:2015-2016学年河北省高二上学期第二次月考理数学试卷(解析版) 题型:选择题

分别是椭圆的左、右焦点,过的直线交椭圆于两点,若,则椭圆的离心率为( )

A. B. C. D.

查看答案和解析>>

科目:高中数学 来源:2015-2016学年广西钦州港开发区中学高二上第一次月考理科数学试卷(解析版) 题型:填空题

化简_______________.

查看答案和解析>>

科目:高中数学 来源:2015-2016学年广东省清远市实验学校高一10月月考数学试卷A(解析版) 题型:填空题

已知是奇函数,且当时,,则的值为

查看答案和解析>>

科目:高中数学 来源:2015-2016学年福建省四地六校高一上学期10月第一次联考数学试卷(解析版) 题型:选择题

如果函数在R上是减函数,那么实数a的取值范围是( )

A.|a|> B.<|a|< C.|a|> D.|a|<3

查看答案和解析>>

科目:高中数学 来源:2015-2016学年黑龙江省高一上学期第一阶段考数学试卷(解析版) 题型:选择题

函数的单调递增区间是 ( )

A. B. C. D.

查看答案和解析>>

同步练习册答案