精英家教网 > 高中数学 > 题目详情

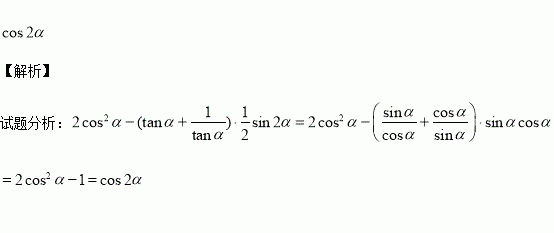
化简_______________.

练习册系列答案
相关习题

科目:高中数学 来源:2016届河北省高三上学期三调考试文科数学试卷(解析版) 题型:选择题

三个正数满足,则的取值范围是( )

A. B. C. D.

查看答案和解析>>

科目:高中数学 来源:2015-2016学年黑龙江省牡丹江市高一上学期9月月考数学试卷(解析版) 题型:选择题

已知,集合,则 ( )

A、 B、 C、 D、

查看答案和解析>>

科目:高中数学 来源:2015-2016学年河北省高二上学期第二次月考理数学试卷(解析版) 题型:解答题

某高校在2012年的自主招生考试成绩中随机抽取100名学生的笔试成绩,按成绩分组,得到的频率分布表如下图所示.

(Ⅰ)请先求出频率分布表中①、②位置相应数据,再在答题纸上完成下列频率分布直方图;

(Ⅱ)为了能选拔出最优秀的学生,高校决定在笔试成绩高的第3、4、5组中用分层抽样抽取6名学生进入第二轮面试,求第3、4、5组每组各抽取多少名学生进入第二轮面试?

(Ⅲ)在(2)的前提下,学校决定在6名学生中随机抽取2名学生接受A考官的面试,求:第4组至少有一名学生被考官A面试的概率?

查看答案和解析>>

科目:高中数学 来源:2015-2016学年广西钦州港开发区中学高二上第一次月考文科数学试卷(解析版) 题型:填空题

化简_______________.

查看答案和解析>>

科目:高中数学 来源:2015-2016学年广东省清远市实验学校高一10月月考数学试卷A(解析版) 题型:解答题

(本题满分12分)已知函数

(1)用分段函数的形式表示该函数;

(2)画出该函数的图像;

(3)写出该函数的定义域,值域.

查看答案和解析>>

科目:高中数学 来源:2015-2016学年广东省清远市实验学校高二10月月考数学试卷(解析版) 题型:填空题

在等差数列{an}中,若,则a5的值为

查看答案和解析>>

科目:高中数学 来源:2015-2016学年福建省福安市高二上学期第一次月考试数学试卷(解析版) 题型:选择题

已知在△ABC中,三个内角A,B,C的对边分别为a,b,c,若△ABC的面积为S,且,则tanC等于( )

A. B. C. D.

查看答案和解析>>

科目:高中数学 来源:2015-2016学年河南省高一10月月考数学试卷(解析版) 题型:填空题

已知函数,则实数k的取值集合

查看答案和解析>>

同步练习册答案