精英家教网 > 高中数学 > 题目详情

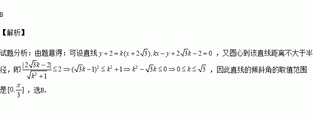
若过点的直线与圆有公共点,则该直线的倾斜角的取值范围是( )

A. B. C. D.

练习册系列答案
相关习题

科目:高中数学 来源:2015-2016学年江苏省沭阳县高二上学期期中考试数学试卷(解析版) 题型:填空题

下图是某校高二年级举办的歌咏比赛上,七位评委为某选手打出的分数的茎叶统计图,去掉一个最高分和一个最低分后,所剩数据的方差为

查看答案和解析>>

科目:高中数学 来源:2016届河北省高三上学期四调文科数学试卷(解析版) 题型:选择题

已知球的直径是该球球面上的两点.,则棱锥的体积为( )

A. B. C. D.

查看答案和解析>>

科目:高中数学 来源:2015-2016学年吉林省高二11月月考理科数学卷(解析版) 题型:选择题

已知数列是等差数列,是正项等比数列,且,则一定有( )

A. B.

C. D.

查看答案和解析>>

科目:高中数学 来源:2015-2016学年湖北武汉华中师大一附高一上期中数学试卷(解析版) 题型:选择题

函数的图像是( )

查看答案和解析>>

科目:高中数学 来源:2016届宁夏六盘山高中高三上学期第二次月考文科数学试卷(解析版) 题型:选择题

,且函数处有极值,则的最小值为( )

A、 B、 C、 D、

查看答案和解析>>

科目:高中数学 来源:2016届宁夏六盘山高中高三上学期第二次月考理科数学试卷(解析版) 题型:选择题

用数学归纳法证明“”时,由的假设证明时,如果从等式左边证明右边,则必须证得右边为( )

A、

B、

C、

D、

查看答案和解析>>

科目:高中数学 来源:2016届湖北武汉华中师大一附等高三上第一次联考文数学卷(解析版) 题型:解答题

选修4-5 不等式证明选讲

已知函数,且满足的解集不是空集.

(1)求实数的取值范围;

(2)求的最小值.

查看答案和解析>>

科目:高中数学 来源:2015-2016学年湖南衡阳八中高二上第二次月考理科数学卷(解析版) 题型:选择题

面积为S的平面凸四边形的第条边的边长记为,此四边形内任一点P到第条边的距离记为,若,则.类比以上性质,体积为V的三棱锥的第个面的面积记为,此三棱锥内任一点Q到第个面的距离记为,若,则等于( )

A. B. C. D.

查看答案和解析>>

同步练习册答案