精英家教网 > 高中数学 > 题目详情

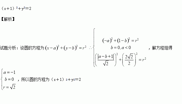
已知圆C过点(0,1),且圆心在x轴负半轴上,直线l:y=x+1被该圆所截得的弦长为,则圆C的标准方程为________.

练习册系列答案
相关习题

科目:高中数学 来源:2015-2016学年吉林省扶余市高一上学期期中考试数学试卷(解析版) 题型:选择题

设函数f (x)=x-lnx (x>0),则y=f (x)( )

A.在区间( ,1)、(1,e)内均有零点

B.在区间( ,1)、(1,e)内均无零点

C.在区间( ,1)内有零点,在区间(1,e)内无零点

D.在区间( ,1)内无零点,在区间(1,e)内有零点

查看答案和解析>>

科目:高中数学 来源:2014-2015学年上海市高二下学期期末考试数学试卷(解析版) 题型:填空题

若正方体的体对角线长是4,则正方体的体积是

查看答案和解析>>

科目:高中数学 来源:2015-2016学年辽宁省大连市高二上期中理科数学试卷(解析版) 题型:解答题

(本小题满分12分)

已知椭圆,其左右焦点分别为.对于命题”.写出,判断的真假,并说明理由.

查看答案和解析>>

科目:高中数学 来源:2015-2016学年江西省等三校高二上第一次联考数学试卷(解析版) 题型:选择题

如图所示,在斜三棱柱ABC-A1B1C1的底面△ABC中,∠A=90°,且BC1⊥AC,过C1作C1H⊥底面ABC,垂足为H,则点H在( )

A.直线AC上 B.直线AB上

C.直线BC上 D.△ABC内部

查看答案和解析>>

科目:高中数学 来源:2015-2016学年江西省赣州市十三县高二上期中联考理科数学试卷(解析版) 题型:解答题

(本题12分)

如图,是圆柱的轴截面,是底面圆周上异于的一点,

(1)求证:平面⊥平面

(2)求几何体的体积的最大值.

查看答案和解析>>

科目:高中数学 来源:2015-2016学年湖南省高一上学期期中考试数学试卷(解析版) 题型:选择题

在一次数学实验中,运用计算器采集到如下一组数据:

x

-2.0

-1.0

0

1.00

2.00

3.00

y

0.24

0.51

1

2.02

3.98

8.02

则x,y的函数关系与下列哪类函数最接近(其中,a,b为待定系数)( )

A.y=a+bx B.y=a+bx

C.y=a+logbx D.y=a+

查看答案和解析>>

科目:高中数学 来源:2015-2016学年河北省邢台市高二上第一次月考数学试卷(解析版) 题型:选择题

正四棱锥的底面边长为,高,则过点的球的半径为( )

A.3 B.4 C.5 D.6

查看答案和解析>>

科目:高中数学 来源:2016届辽宁省葫芦岛市高三上学期期中理科数学试卷(解析版) 题型:解答题

(本小题满分12分)已知函数(其中是实数).

(Ⅰ)求的单调区间;

(Ⅱ)若设,且有两个极值点),求的取值范围.(其中为自然对数的底数,).

查看答案和解析>>

同步练习册答案