精英家教网 > 高中数学 > 题目详情

(本题12分)

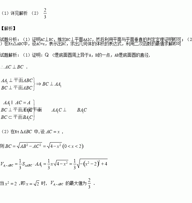
如图,是圆柱的轴截面,是底面圆周上异于的一点,

(1)求证:平面⊥平面

(2)求几何体的体积的最大值.

练习册系列答案
相关习题

科目:高中数学 来源:2015-2016学年吉林省扶余市高二上学期期中考试文科数学试卷(解析版) 题型:填空题

已知x>0,y>0且x≠y,且x+y=4,则xy与4的大小关系是 ____________.

查看答案和解析>>

科目:高中数学 来源:2015-2016学年重庆市高二上第一次月考理科数学试卷(解析版) 题型:选择题

已知随机变量的值如表所示,如果线性相关且回归直线方程为,则实数( )

A. B. C. D.

查看答案和解析>>

科目:高中数学 来源:2015-2016学年江西省等三校高二上第一次联考数学试卷(解析版) 题型:解答题

(本小题满分12分)已知圆C:(x-1)2+y2=9内有一点P(2,2),过点P作直线l交圆C于A、B两点.

(1)当直线l过圆心C时,求直线l的方程;

(2)当直线l的倾斜角为45°时,求弦AB的长.

查看答案和解析>>

科目:高中数学 来源:2015-2016学年江西省赣州市十三县高二上期中联考文科数学试卷(解析版) 题型:填空题

已知圆C过点(0,1),且圆心在x轴负半轴上,直线l:y=x+1被该圆所截得的弦长为,则圆C的标准方程为________.

查看答案和解析>>

科目:高中数学 来源:2015-2016学年湖南省高一上学期期中考试数学试卷(解析版) 题型:解答题

已知函数

(1)若a=1,求函数f(x)的零点;

(2)若函数f(x)在[-1,+∞)上为增函数,求a的取值范围.

查看答案和解析>>

科目:高中数学 来源:2015-2016学年湖北省宜昌市高二上期中文科数学试卷(解析版) 题型:填空题

读下边的程序:程序在执行时,如果输入6,那么输出的结果为

查看答案和解析>>

科目:高中数学 来源:2015-2016学年广东省普宁市高二上期中文科数学试卷(解析版) 题型:填空题

已知的图象与X轴交与,则的最小值为____

查看答案和解析>>

科目:高中数学 来源:2016届辽宁省葫芦岛市高三上学期期中理科数学试卷(解析版) 题型:选择题

若实数满足,则目标函数的最大值为( )

A. B. C. D.

查看答案和解析>>

同步练习册答案