精英家教网 > 高中数学 > 题目详情

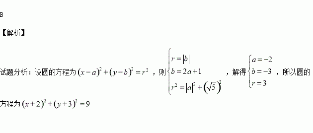
已知圆心在直线上的圆,其圆心到轴的距离恰好等于圆的半径,在轴上截得的弦长为,则圆的方程为

A.

B.

C.

D.

练习册系列答案
相关习题

科目:高中数学 来源:2016届河南六市高三第二次联考数学(理)试卷(解析版) 题型:选择题

已知某几何体的三视图如下图所示(图中数据单位:cm),则这个几何体的体积为( )

A. B. C. D.

查看答案和解析>>

科目:高中数学 来源:2017届新疆生产建设兵团二中高三上月考一数学(理)试卷(解析版) 题型:填空题

已知是定义在上的奇函数,且满足,当时,,则____________.

查看答案和解析>>

科目:高中数学 来源:2015-2016学年辽宁省协作校高一下期末数学试卷(解析版) 题型:解答题

已知,函数

(1)求的对称轴方程;

(2)求使成立的的取值集合;

(3)若对任意实数不等式恒成立,求实数的取值范围.

查看答案和解析>>

科目:高中数学 来源:2015-2016学年辽宁省协作校高一下期末数学试卷(解析版) 题型:选择题

已知点P是圆上的一个动点,点Q是直线上的一个动点,O为坐标原点,则向量上的射影的数量的最大值是( )

A.3 B. C.3 D.1

查看答案和解析>>

科目:高中数学 来源:2015-2016学年辽宁省协作校高一下期末数学试卷(解析版) 题型:选择题

关于面对称的点的坐标是( )

A. B. C. D.

查看答案和解析>>

科目:高中数学 来源:2015-2016学年辽宁大连市高一下期末数学试卷(解析版) 题型:解答题

某班倡议假期每位学生至少阅读一本名著,为了解学生的阅读情况,对该班所有学生进行了调查.调查结果如右表:

(Ⅰ)试根据上述数据,求这个班级女生阅读名著的平均本数;

(Ⅱ)若从阅读5本名著的学生中任选2人交流读书心得,求选到男生和女生各1人的概率;

查看答案和解析>>

科目:高中数学 来源:2015-2016学年黑龙江肇东一中高一下学期期末考试数学(文)试卷(解析版) 题型:解答题

已知过原点的动直线与圆相交于不同的两点

(1)求圆的圆心坐标;

(2)求线段的中点的轨迹的方程;

(3)是否存在实数,使得直线与曲线只有一个交点?若存在,求出的取值范围. 若不存在,说明理由.

查看答案和解析>>

科目:高中数学 来源:2015-2016学年广东茂名十七中高二下学期期末数学(文)试卷(解析版) 题型:选择题

时,函数的图象一定经过点( )

A. B. C. D.

查看答案和解析>>

同步练习册答案