精英家教网 > 高中数学 > 题目详情

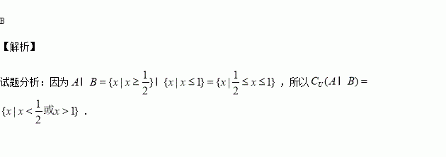
已知全集,集合,集合,那么( )

A. B.

C. D.

练习册系列答案
相关习题

科目:高中数学 来源:2016届湖南省株洲市高三上学期期中理科数学试卷(解析版) 题型:解答题

已知曲线的参数方程是,直线的参数方程为

(1)求曲线与直线的普通方程;

(2)若直线与曲线相交于两点,且,求实数的值。

查看答案和解析>>

科目:高中数学 来源:2015-2016学年湖南衡阳八中高二上第二次月考文科数学卷(解析版) 题型:选择题

已知之间的一组数据,已求得关于的线性回归方程为,则的值为( )

0

1

2

3

3

5.5

7

A. B. C. D.

查看答案和解析>>

科目:高中数学 来源:2014-2015学年广东省心学校高一上学期期末数学试卷(解析版) 题型:选择题

若平面向量与向量平行,且,则( ).

A. B. C. D.

查看答案和解析>>

科目:高中数学 来源:2016届四川省成都市高三11月阶段测试理科数学试卷(解析版) 题型:解答题

已知函数的图象在点处的切线方程为

(1)用表示

(2)若函数上的最大值为2,求实数a的取值范围.

查看答案和解析>>

科目:高中数学 来源:2016届湖南师范大学附中高三上学期月考三文科数学试卷(解析版) 题型:选择题

已知下面四个命题:

①“若,则”的逆否命题为“,则

②“”是“”的充分不必要条件

③命题存在,使得,则任意,都有

④若为假命题,则均为假命题

其中真命题个数为( )

A.1 B.2 C.3 D.4

查看答案和解析>>

科目:高中数学 来源:2016届甘肃省高三12月月考文科数学试卷(解析版) 题型:解答题

选修4—5:不等式选讲

已知关于的不等式,其解集为

(Ⅰ)求的值;

(Ⅱ)若均为正实数,且满足,求的最小值.

查看答案和解析>>

科目:高中数学 来源:2016届福建省高三上学期半期考试文科数学试卷(解析版) 题型:选择题

命题“,使得”的否定是( )

A.,都有

B.,都有

C.,使得

D.,使得

查看答案和解析>>

科目:高中数学 来源:2016届辽宁省抚顺市高三12月月考文科数学试卷(解析版) 题型:填空题

已知不等式,照此规律总结出第个不等式为______________;

查看答案和解析>>

同步练习册答案