精英家教网 > 高中数学 > 题目详情
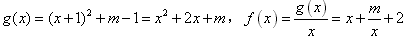
已知二次函数y=g(x)的导函数的图像与直线y=2x平行,且y=g(x)在x=-1处取得极小值m-1(m≠0),设
(1)若曲线y=f(x)上的点P到点Q(0,2)的距离的最小值为,求m的值;
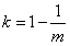
(2)k(k∈R)如何取值时,函数y=f(x)-kx存在零点,并求出零点。
解:(1)依题可设(a≠0),

又g′(x)的图像与直线y=2x平行,
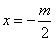
∴2a=2,a=1,




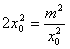
当且仅当时,|PQ|2取得最小值,即|PQ|取得最小值
当m>0时,
当m<0时,
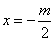
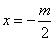
(2)由
,(*)
当k=1时,方程(*)有一解,函数y=f(x)-kx有一零点
当k≠1时,方程(*)有二解

函数y=f(x)-kx有两个零点

函数y=f(x)-kx有两个零点
当k≠1时,方程(*)有一解
函数y=f(x)-kx有一零点
综上,当k=1时, 函数y=f(x)-kx有一零点
时,函数y=f(x)-kx有两个零点
时,函数y=f(x)-kx有一零点
练习册系列答案
相关习题

科目:高中数学 来源: 题型:

已知二次函数y=g(x)的导函数的图象与直线y=2x平行,且y=g(x)在x=-1处取得极小值m-1(m≠0).设f(x)=
g(x)
x

(1)若曲线y=f(x)上的点P到点Q(0,2)的距离的最小值为
2
,求m的值;
(2)k(k∈R)如何取值时,函数y=f(x)-kx存在零点,并求出零点.

查看答案和解析>>

科目:高中数学 来源: 题型:

已知二次函数y=g(x)的导函数的图象与直线y=2x平行,且y=g(x)在x=-1处取得极小值m-1(m≠0).设f(x)=
g(x)
x
.若曲线y=f(x)上的点P到点Q(0,2)的距离的最小值为
2
,求m的值.

查看答案和解析>>

科目:高中数学 来源: 题型:

(2011•惠州模拟)已知二次函数y=g(x)的图象经过点O(0,0)、A(m,0)与点P(m+1,m+1),设函数f(x)=(x-n)g(x)在x=a和x=b处取到极值,其中m>n>0,b<a.
(1)求g(x)的二次项系数k的值;
(2)比较a,b,m,n的大小(要求按从小到大排列);
(3)若m+n≤2,且过原点存在两条互相垂直的直线与曲线y=f(x)均相切,求y=f(x).

查看答案和解析>>

科目:高中数学 来源: 题型:

已知二次函数y=g(x)在(-∞,1)上单调递减,(1,+∞)上单调递增,最小值为m-1(m≠0),且y=g(x)的导函数的图象与直线y=2x平行,设f(x)=
g(x)
x

(Ⅰ)若曲线y=f(x)上的点P到点Q(0,-2)的距离的最小值为
2
,求m的值;
(Ⅱ)若m=1,方程f(|2x-1|)+k(
2
|2x-1|
-3)=0
有三个不同的实数解,求实数k的范围.

查看答案和解析>>

科目:高中数学 来源: 题型:

已知二次函数y=g(x)在(-∞,1)上单调递减,(1,+∞)上单调递增,最小值为m-1(m≠0),且y=g(x)的导函数的图象与直线y=2x平行,设f(x)=
g(x)
x

(Ⅰ)若曲线y=f(x)上的点P到点Q(0,-2)的距离的最小值为
2
,求m的值;
(Ⅱ)若m=1,方程f(2x)-k•2x=0在x∈[-1,1]上有实数解,求实数k的范围.

查看答案和解析>>

同步练习册答案