精英家教网 > 高中数学 > 题目详情

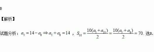
已知等差数列的前项和为,若,则( )

A. B. C. D.

练习册系列答案
相关习题

科目:高中数学 来源:2016届海南省高三考前模拟理科数学试卷(解析版) 题型:选择题

是虚数单位,若),则的值是( )

A. B. C. D.

查看答案和解析>>

科目:高中数学 来源:2016届福建省高三下学期周考六理科数学试卷(解析版) 题型:选择题

已知为同一平面内的两个向量,且,若垂直,则的夹角为( )

A.0 B. C. D.

查看答案和解析>>

科目:高中数学 来源:2016届贵州省高三第十次月考文科数学试卷(解析版) 题型:填空题

过抛物线的焦点的直线交抛物线于两点,为坐标原点,若,则 的面积为

查看答案和解析>>

科目:高中数学 来源:2016届贵州省高三第十次月考文科数学试卷(解析版) 题型:选择题

将函数图象上各点的横坐标伸长到原来的倍,再向右平移个单位,则函数的对称轴可以是( )

A. B. C. D.

查看答案和解析>>

科目:高中数学 来源:2016届安徽师大附中高三最后一卷理科数学试卷(解析版) 题型:解答题

选修4-1:几何证明选讲

如图,四边形内接于的直径于点平分.

(1)证明:的切线;

(2)如果,求.

查看答案和解析>>

科目:高中数学 来源:2016届安徽师大附中高三最后一卷理科数学试卷(解析版) 题型:填空题

如图,半径为的扇形的圆心角为分别为半径的中点,为弧上任意一点,则的取值范围是

查看答案和解析>>

科目:高中数学 来源:2016届安徽师大附中高三最后一卷文科数学试卷(解析版) 题型:解答题

已知圆:和抛物线,圆的切线与抛物线交于不同的两点.

(1)当切线 斜率为 时,求线段的长;

(2)设点和点关于直线 对称,且,求直线的方程.

查看答案和解析>>

科目:高中数学 来源:2015-2016学年吉林省高一下期中数学试卷(解析版) 题型:选择题

已知直线经过点与点,则该直线的倾斜角为( )

(A)150° (B)75° (C)135° (D)45°

查看答案和解析>>

同步练习册答案