精英家教网 > 高中数学 > 题目详情

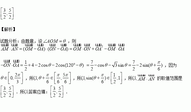
如图,半径为的扇形的圆心角为分别为半径的中点,为弧上任意一点,则的取值范围是

练习册系列答案
相关习题

科目:高中数学 来源:2016届海南师范大学附属中学高三临考模拟数学试卷(解析版) 题型:填空题

已知函数上是关于的增函数,则的取值范围是_____.

查看答案和解析>>

科目:高中数学 来源:2016届贵州省高三第十次月考文科数学试卷(解析版) 题型:解答题

已知点在椭圆)上,且椭圆的离心率为

(Ⅰ)求椭圆的方程;

(Ⅱ)若斜率为的直线与椭圆交于两点,以为底作等腰三角形,顶点为,求△的面积.

查看答案和解析>>

科目:高中数学 来源:2016届贵州省高三第十次月考文科数学试卷(解析版) 题型:选择题

已知等差数列的前项和为,若,则( )

A. B. C. D.

查看答案和解析>>

科目:高中数学 来源:2016届安徽师大附中高三最后一卷理科数学试卷(解析版) 题型:解答题

已知椭圆的焦点坐标是,过点垂直与长轴的直线交椭圆与两点, 且.

(1)求椭圆的方程;

(2)过的直线与椭圆交与不同的两点,则的内切圆面积是否存在最大值?若存在,则求出这个最大值及此时的直线方程;若不存在,请说明理由.

查看答案和解析>>

科目:高中数学 来源:2016届安徽师大附中高三最后一卷理科数学试卷(解析版) 题型:选择题

是椭圆上一点,是其左,右顶点, ,则离心率( )

A. B. C. D.

查看答案和解析>>

科目:高中数学 来源:2016届安徽师大附中高三最后一卷理科数学试卷(解析版) 题型:选择题

,直线,且,则( )

A. B.斜交 C. D.位置关系不确定

查看答案和解析>>

科目:高中数学 来源:2016届安徽师大附中高三最后一卷文科数学试卷(解析版) 题型:选择题

过抛物线的焦点的直线交抛物线于两点,点是坐标原点,若,则的面积为( )

A. B. C. D.

查看答案和解析>>

科目:高中数学 来源:2016届江西省高三第三次模拟文科数学试卷(解析版) 题型:填空题

在区间内任取一数,则满足条件的概率为 .

查看答案和解析>>

同步练习册答案