精英家教网 > 高中数学 > 题目详情
如图,在直角坐标系xOy中,设椭圆的左右两个焦点分别为F1、F2.过右焦点F2且与x轴垂直的直线l与椭圆C相交,其中一个交点为
(1)求椭圆C的方程;
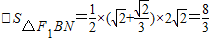
(2)设椭圆C的一个顶点为B(0,-b),直线BF2交椭圆C于另一点N,求△F1BN的面积.

【答案】分析:(1)由已知易得c值与线段MF2的长度,在直角三角形MF1F2中勾股定理求出a即可写出椭圆C的标准方程.
(2)此题可转化为求以线段为底边的两个三角形的和问题,一个三角形的高为b,另一个为|yn|.故只须求yn即可.
解答:解:(1)由椭圆定义可知|MF1|+|MF2|=2a.由题意|MF2|=1,
∴?|MF1|=2a-1.又由Rt△MF1F2可知,a>0,
∴?a=2,又a2-b2=2,得b2=2.∴椭圆C的方程为
(2)直线BF2的方程为

得点N的纵坐标为.又

点评:考查求椭圆的方程,及椭圆中焦点三角形的面积,是直线与椭圆位置关系中一类相对来说比较简单点的题.
练习册系列答案
相关习题

科目:高中数学 来源: 题型:

(2009•杭州二模)如图,在直角坐标系xOy中,锐角△ABC内接于圆x2+y2=1.已知BC平行于x轴,AB所在直线方程为y=kx+m(k>0),记角A,B,C所对的边分别是a,b,c.
(1)若3k=
2ac
a2+c2-b2
,求cos2
A+C
2
+sin2B
的值;
(2)若k=2,记∠xOA=α(0<α<
π
2
),∠xOB=β(π<β<
2
),求sin(α+β)
的值.

查看答案和解析>>

科目:高中数学 来源: 题型:

精英家教网如图,在直角坐标系中,中心在原点,焦点在X轴上的椭圆G的离心率为e=
15
4
,左顶点A(-4,0),圆O':(x-2)2+y2=r2是椭圆G的内接△ABC的内切圆.
(Ⅰ) 求椭圆G的方程;
(Ⅱ)求圆O'的半径r;
(Ⅲ)过M(0,1)作圆G的两条切线交椭圆于E,F两点,判断直线EF与圆O'的位置关系,并证明.

查看答案和解析>>

科目:高中数学 来源: 题型:

(2013•石景山区二模)如图,在直角坐标系xOy中,角α的顶点是原点,始边与x轴正半轴重合,终边交单位圆于点A,且α∈(
π
6
π
2
)
.将角α的终边按逆时针方向旋转
π
3
,交单位圆于点B.记A(x1,y1),B(x2,y2).
(Ⅰ)若x1=
1
3
,求x2
(Ⅱ)分别过A,B作x轴的垂线,垂足依次为C,D.记△AOC的面积为S1,△BOD的面积为S2.若S1=2S2,求角α的值.

查看答案和解析>>

科目:高中数学 来源: 题型:

精英家教网如图,在直角坐标系xOy中,角α的顶点是原点,始边与x轴正半轴重合,终边交单位圆于点A,且α∈(
π
3
π
2
)
.将角α的终边按逆时针方向旋转
π
6
,交单位圆于点B.记A(x1,y1),B(x2,y2).
(Ⅰ)若x1=
1
4
,求x2; 
(Ⅱ)分别过A,B作x轴的垂线,垂足依次为C,D.记△AOC的面积为S1,△BOD的面积为S2.若S1=S2,求角α的值.

查看答案和解析>>

科目:高中数学 来源: 题型:

精英家教网如图,在直角坐标系中,已知射线OA:x-y=0(x≥0),OB:
3
x+3y=0(x≥0),过点P(a,0)(a>0)作直线l分别交射线OA,OB于A,B两点,且
AP
=2
PB
,则直线l的斜率为
 

查看答案和解析>>

同步练习册答案