【答案】
分析:(1)设圆心C的坐标为(a,b),由圆M的方程找出M的坐标,根据圆C与圆M关于直线x+y+2=0对称,利用线段中点坐标公式表示出线段MC的中点坐标,代入直线x+y+2=0中,得到关于a与b的方程,记作①,再求出直线x+y+2=0的斜率,根据两直线垂直时斜率的乘积为-1,求出直线MC的斜率,根据M和C的坐标列出关于a与b的令一个方程,记作②,联立①②组成方程组,求出方程组的解集得到a与b的值,确定出点C的坐标,由圆C经过P,利用两点间的距离公式求出|CP|的长,即为圆C的半径,由圆心和半径写出圆C的标准方程即可;
(2)设直线AB的方程为y=x+m,并设出A(x
1,y
1),B(x
2,y
2),联立直线AB与圆C的方程,消去y后得到关于x的一元二次方程,利用韦达定理表示出x
1+x
2与x
1x
2,由P,A及B的坐标,利用求直线斜率的方法表示出k
PA+k
PB,将其中的y
1与y
2分别换为x
1+m,x
2+m,整理化简后得到其中为0,可得∠APB的平分线为垂直于x轴的直线,由P的横坐标为1,得到三角形内切圆的圆心必然在直线x=1上,得证;
(3)由∠APB=60°,得到直线BP的倾斜角,根据直线倾斜角与斜率的关系得到直线BP的斜率,由(2)中两斜率之和为0,求出直线AP的斜率,可得出直线AP的方程,利用点到直线的距离公式求出圆心到直线AP的距离,即为弦心距,由圆的半径,弦心距,利用勾股定理求出弦长的一半,即可得到AP的长,同理求出PB的长,由PA,PB及sin∠APB的值,利用三角形的面积公式即可求出三角形APB的面积.
解答:解:(1)设圆心C(a,b),由题意得到圆M坐标为(-2,-2),
又圆C与圆M关于直线x+y+2=0对称,
∴

+

+2=0①,…(2分)
又直线x+y+2=0的斜率为-1,
∴直线CM的斜率为1,即

=1②,
联立①②解得:a=b=0,
∴圆心C坐标为(0,0),又P(1,1)在圆C上,
半径r
2=(0-1)
2+(0-1)
2=2,
∴圆C的方程为x
2+y
2=2…(4分)
(2)设直线AB的方程为:y=x+m,A(x
1,y
1),B(x
2,y
2),
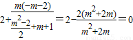
由

,消去y得:2x
2+2mx+m
2-2=0,
∴x
1+x
2=-m,x
1x
2=

,
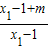
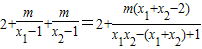
∴k
PA+k
PB=

+

=

+

=

=

,
即k
PA+k
PB=0,
∴∠APB的平分线为垂直于x轴的直线,又P(1,1),
则△PAB的内切圆的圆心在直线x=1上;…(10分)
(3)若∠APB=60°,结合(2)可知:

,

,…(11分)
直线PA的方程为:

,
圆心O到直线PA的距离

,
∴PA=2

=2

=

+1,…(13分)
同理可得:

,…(15分)
∴S
△PAB=

PA•PB•sin60°=

.…(16分)
点评:此题考查了关于直线对称的圆的方程,直线与圆相交的性质,韦达定理,垂径定理,勾股定理,关于直线对称的直线方程,直线的点斜式方程,三角形的面积公式,以及特殊角的三角函数值,是一道综合性较强的题,要求学生掌握知识要灵活全面.