精英家教网 > 高中数学 > 题目详情

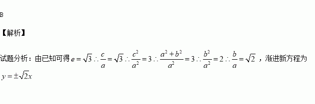
双曲线的离心率为,则它的渐近线方程是

A. B. C. D.

练习册系列答案
相关习题

科目:高中数学 来源:2015-2016学年山东省高二上期末文科数学试卷(解析版) 题型:填空题

过抛物线y2=4x的焦点,作倾斜角为的直线交抛物线于P、Q两点,O为坐标原点,则POQ的面积为_________.

查看答案和解析>>

科目:高中数学 来源:2015-2016学年山东省胶州市高二上学期期末考试文科数学试卷(解析版) 题型:填空题

条件.(从“充分”,“充分不必要”,“必要不充分”,“ 既不充分也不必要”中选择一个正确的填写)

查看答案和解析>>

科目:高中数学 来源:2015-2016学年山东省胶州市高二上学期期末考试理科数学试卷(解析版) 题型:解答题

已知为平面上的动点且,若P到轴的距离比到点的距离小1.

(Ⅰ)求点P的轨迹C的方程;

(Ⅱ)设过点的直线交曲线C与A,B两点,问是否存在这样的实数m,使得以线段AB为直径的圆恒过原点.

查看答案和解析>>

科目:高中数学 来源:2015-2016学年山东省胶州市高二上学期期末考试理科数学试卷(解析版) 题型:填空题

已知椭圆的离心率,则m的值为

查看答案和解析>>

科目:高中数学 来源:2015-2016学年山东省胶州市高二上学期期末考试理科数学试卷(解析版) 题型:选择题

已知椭圆的方程为,则此椭圆的长轴长为

A. 3 B. 4 C. 6 D. 8

查看答案和解析>>

科目:高中数学 来源:2015-2016学年湖北省宜昌市高一上期末数学试卷(解析版) 题型:填空题

如图,平面内有三个向量,其中的夹角为的夹角为,且,若,则=_______.

查看答案和解析>>

科目:高中数学 来源:2015-2016学年湖南省长沙市高一上期末数学试卷(解析版) 题型:解答题

求圆心在上,与轴相切,且被直线截得弦长为的圆的方程.

查看答案和解析>>

科目:高中数学 来源:2016届四川省高三4月模拟三理科数学试卷(解析版) 题型:选择题

已知是虚数单位,复数的共轭复数为( )

A. B. C. D.

查看答案和解析>>

同步练习册答案