精英家教网 > 高中数学 > 题目详情

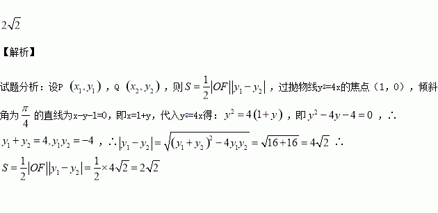
过抛物线y2=4x的焦点,作倾斜角为的直线交抛物线于P、Q两点,O为坐标原点,则POQ的面积为_________.

练习册系列答案
相关习题

科目:高中数学 来源:2015-2016学年北京市东城区高二上学期期末考试理科数学试卷(解析版) 题型:解答题

已知圆C经过两点,且圆心在直线上。

(Ⅰ)求圆C的方程;

(Ⅱ)设直线经过点(2,-2),且与圆C相交所得弦长为,求直线的方程。

查看答案和解析>>

科目:高中数学 来源:2015-2016学年江西省宜春市高二上期末理科数学试卷(解析版) 题型:解答题

如图,已知M为抛物线上一动点,为其对称轴上一点,直线MA与抛物线的另一个交点为N.当A为抛物线的焦点且直线MA与其对称轴垂直时,△OMN的面积为

(I)求抛物线的标准方程;

(II)记,若t的值与M点位置无关,则称此时的点A为“稳定点”,试求出所有“稳定点”,若没有,请说明理由.

查看答案和解析>>

科目:高中数学 来源:2015-2016学年江西省宜春市高二上期末理科数学试卷(解析版) 题型:选择题

若过点的直线与圆有公共点,则该直线的倾斜角的取值范围是( )

A. B. C. D.

查看答案和解析>>

科目:高中数学 来源:2015-2016学年山东省高二上期末文科数学试卷(解析版) 题型:解答题

ABC中,内角A,B,C的对边分别为a,b,c.已知.

(1)求的值;

(2)若cosB=,b=2, 求△ABC的面积S.

查看答案和解析>>

科目:高中数学 来源:2015-2016学年山东省高二上期末文科数学试卷(解析版) 题型:选择题

若变量x,y满足约束条件则目标函数z=x-2y的最大值为( )

A.-9 B.0 C.9 D.15

查看答案和解析>>

科目:高中数学 来源:2015-2016学年山东省高二上期末文科数学试卷(解析版) 题型:选择题

在△ABC中,一定成立的等式是( )

A.asinA=bsinB B.acosA=bcosB

C.asinB=bsinA D.acosB=bcosA

查看答案和解析>>

科目:高中数学 来源:2015-2016学年山东省高二上期末理科数学试卷(解析版) 题型:选择题

已知各项不为的等差数列满足,数列是等比数列,且,则( )

A. B. C. D.

查看答案和解析>>

科目:高中数学 来源:2015-2016学年山东省胶州市高二上学期期末考试理科数学试卷(解析版) 题型:选择题

双曲线的离心率为,则它的渐近线方程是

A. B. C. D.

查看答案和解析>>

同步练习册答案