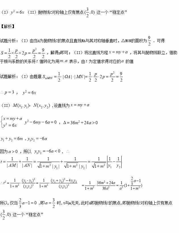
如图,已知M为抛物线
上一动点,
为其对称轴上一点,直线MA与抛物线的另一个交点为N.当A为抛物线的焦点且直线MA与其对称轴垂直时,△OMN的面积为
.
![]()
(I)求抛物线的标准方程;
(II)记
,若t的值与M点位置无关,则称此时的点A为“稳定点”,试求出所有“稳定点”,若没有,请说明理由.
科目:高中数学 来源:2015-2016学年北京市西城区高二上学期期末考试理科数学试卷(解析版) 题型:选择题
“直线
垂直于平面
内无数条直线”是“直线
垂直于平面
”的( )
A.充分而不必要条件 B.必要而不充分条件
C.充分必要条件 D.既不充分也不必要条件
查看答案和解析>>
科目:高中数学 来源:2015-2016学年北京市东城区高二上学期期末考试理科数学试卷(解析版) 题型:选择题
一个四棱锥的底面为正方形,其三视图如图所示,则这个四棱锥的体积是( )
![]()
A. 1 B. 2 C. 3 D. 4
查看答案和解析>>
科目:高中数学 来源:2015-2016学年江西省宜春市高二上期末文科数学试卷(解析版) 题型:选择题
已知抛物线
(
<0)与双曲线
有一个相同的焦点,则动点(
)的轨迹是( )
A.椭圆的一部分 B.双曲线的一部分 C.抛物线的一部分 D. 直线的一部分
查看答案和解析>>
科目:高中数学 来源:2015-2016学年江西省宜春市高二上期末文科数学试卷(解析版) 题型:选择题
若
、
、
是互不相同的空间直线,
、
是不重合的平面,则下列结论正确的是
A.![]()
![]()
B.![]()
![]()
![]()
C.![]()
![]()
D.![]()
![]()
![]()
查看答案和解析>>
科目:高中数学 来源:2015-2016学年江西省宜春市高二上期末理科数学试卷(解析版) 题型:填空题
对于函数
,若在其定义域内存在
,使得
成立,则称
为函数
的“反比点”.下列函数中具有“反比点”的是____________.
①
; ②
; ③
,
;④
; ⑤![]()
查看答案和解析>>
科目:高中数学 来源:2015-2016学年江西省宜春市高二上期末理科数学试卷(解析版) 题型:选择题
点
是棱长为1的正方体
内一点,且满足
,则点
到棱
的距离为( )
A.
B.
C.
D.![]()
查看答案和解析>>
科目:高中数学 来源:2015-2016学年山东省高二上期末文科数学试卷(解析版) 题型:填空题
过抛物线y2=4x的焦点,作倾斜角为
的直线交抛物线于P、Q两点,O为坐标原点,则
POQ的面积为_________.
查看答案和解析>>
科目:高中数学 来源:2015-2016学年山东省胶州市高二上学期期末考试文科数学试卷(解析版) 题型:填空题
是
的 条件.(从“充分”,“充分不必要”,“必要不充分”,“ 既不充分也不必要”中选择一个正确的填写)
查看答案和解析>>
湖北省互联网违法和不良信息举报平台 | 网上有害信息举报专区 | 电信诈骗举报专区 | 涉历史虚无主义有害信息举报专区 | 涉企侵权举报专区
违法和不良信息举报电话:027-86699610 举报邮箱:58377363@163.com