精英家教网 > 高中数学 > 题目详情

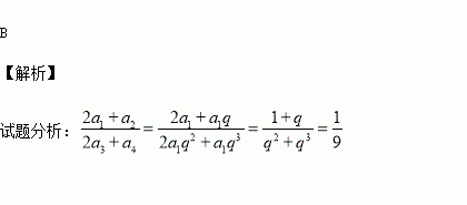
成等比数列,其公比为3,则的值为( )

A.1 B. C. D.

练习册系列答案
相关习题

科目:高中数学 来源:2015-2016学年江西铅山一中 、横峰中学高二上学期期中理科数学卷(解析版) 题型:选择题

下面是两个变量的一组数据:

X

1

2

3

4

5

6

7

8

y

1

4

9

16

25

36

49

64

则这两个变量之间的线性回归方程是( )

A.y=-16+9x B.y=31-x C.y=30-x D.y=-15+9x

查看答案和解析>>

科目:高中数学 来源:2015-2016学年吉林省扶余市高一上学期期中考试数学试卷(解析版) 题型:选择题

( )

A.6 B.5 C.4 D.3

查看答案和解析>>

科目:高中数学 来源:2015-2016学年湖南省高二上学期期中考试理科数学试卷(解析版) 题型:选择题

,则的最小值是( )

A.6 B.12 C.24 D.16

查看答案和解析>>

科目:高中数学 来源:2015-2016学年福建省高一上学期期中考试数学试卷(解析版) 题型:选择题

已知函数是函数的反函数,则( )

A. B. C. D.

查看答案和解析>>

科目:高中数学 来源:2015-2016学年福建省高二上学期期中考试理科数学试卷(解析版) 题型:选择题

已知等比数列{an}中,a1,a99为方程x2-10x+4=0的两根,则a20·a50·a80的值为( )

A.8 B.8 C.±8 D.±64

查看答案和解析>>

科目:高中数学 来源:2014-2015学年上海市高二下学期期末考试数学试卷(解析版) 题型:填空题

在二项式的展开式中,含的项的系数是 .(用数字作答)

查看答案和解析>>

科目:高中数学 来源:2015-2016学年辽宁省大连市高二上期中理科数学试卷(解析版) 题型:解答题

(本小题满分12分)

已知动点在双曲线上,定点,求的最小值以及取最小值时点的横坐标.

查看答案和解析>>

科目:高中数学 来源:2015-2016学年河北省邢台市高二上第一次月考数学试卷(解析版) 题型:选择题

已知四棱锥P-ABCD的侧棱长与底面边长都相等,四边形ABCD为正方形,点的中点,则异面直线所成角的余弦值为( )

A、 B、 C、 D、

查看答案和解析>>

同步练习册答案