精英家教网 > 高中数学 > 题目详情

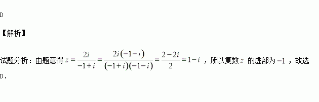
=,则复数的虚部为( )

A.i B.1 C.-i D.-1

练习册系列答案
相关习题

科目:高中数学 来源:2015-2016学年安徽省高二下期中文科数学试卷(解析版) 题型:选择题

若复数为虚数单位)为实数,则实数( )

A. B. C. D.

查看答案和解析>>

科目:高中数学 来源:2016届福建省高三最后一卷理科数学试卷(解析版) 题型:选择题

满足约束条件,若仅在点处取得最大值,则的值可以为( )

A.4 B.2 C. D.

查看答案和解析>>

科目:高中数学 来源:2015-2016学年河北省高二下期中文科数学试卷(解析版) 题型:填空题

观察下面等式,则按此规律第n个等式为________.

查看答案和解析>>

科目:高中数学 来源:2015-2016学年河北省高二下期中文科数学试卷(解析版) 题型:选择题

已知变量的取值如下表

0

1

3

4

2.2

4.3

4.8

6.7

利用散点图观察,线性相关,其回归方程为,则的值为( )

A. B. C. D.

查看答案和解析>>

科目:高中数学 来源:2015-2016学年河北省高二下期中理科数学试卷(解析版) 题型:解答题

如图,类似于中国结的一种刺绣图案,这些图案由小正方形构成,其数目越多,图案越美丽,若按照前4个图中小正方形的摆放规律,设第个图案所包含的小正方形个数记为

(I)利用合情推理的“归纳推理思想”,归纳出的关系,并通过你所得到的关系式,求

的表达式;

(II)计算:的值,

猜想的结果,并用数学归纳法证明.

查看答案和解析>>

科目:高中数学 来源:2015-2016学年河北省高二下期中理科数学试卷(解析版) 题型:选择题

若函数f(x),则g(x)=f(x)-lnx的零点个数为( )

A.1 B.2 C.3 D.4

查看答案和解析>>

科目:高中数学 来源:2015-2016学年山西大学附属中学高一下期中数学试卷(解析版) 题型:填空题

已知,若的夹角是锐角,则的取值范围是___

查看答案和解析>>

科目:高中数学 来源:2015-2016学年安徽省高二下周末检测三文数学卷(解析版) 题型:解答题

(1)求值

(2)已知,求的值.

查看答案和解析>>

同步练习册答案