精英家教网 > 高中数学 > 题目详情

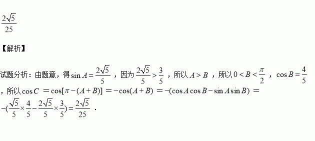
中,,则

练习册系列答案
相关习题

科目:高中数学 来源:2015-2016学年湖南省邵阳市高一上学期期中考试试卷(解析版) 题型:解答题

已知全集U=R,

(1)若,求

(2)若,求的取值范围。

查看答案和解析>>

科目:高中数学 来源:2016届浙江省高三上学期期中理科数学试卷(解析版) 题型:解答题

设函数

(1)当时,求的最小值;

(2)对恒成立,求的取值范围.

查看答案和解析>>

科目:高中数学 来源:2016届湖南省六校高三12月联考文科数学卷(解析版) 题型:填空题

若曲线在点处的切线方程是,则

查看答案和解析>>

科目:高中数学 来源:2016届湖南省六校高三12月联考理科数学卷(解析版) 题型:选择题

,命题直线与圆相交;命题,则的( )

A.必要不充分条件 B.充分不必要条件

C.充分必要条件 D.既不充分也不必要条件

查看答案和解析>>

科目:高中数学 来源:2016届安徽省等高三第三次联考理科数学试卷(解析版) 题型:填空题

函数有三个不同的零点,则实数的取值范围是

查看答案和解析>>

科目:高中数学 来源:2015-2016学年重庆市高一上期中数学试卷(解析版) 题型:填空题

若函数的定义域是,则函数的定义域是______.

查看答案和解析>>

科目:高中数学 来源:2015-2016学年浙江慈溪中学高一7-12班上期中数学卷(解析版) 题型:选择题

存在函数满足,对任意都有( )

A. B.

C. D.

查看答案和解析>>

科目:高中数学 来源:2016届浙江省富阳市高三上学期第二次质量检测理科数学试卷(解析版) 题型:填空题

在正三棱柱中,若中点,则所成角的大小是

查看答案和解析>>

同步练习册答案